DOI: https://doi.org/https://doi.org/10.57187/4711
Illness caused by respiratory syncytial virus (RSV) infection is an important cause of infant morbidity and mortality worldwide, particularly in the first 6 months of life and outside high-income regions [1]. Although >95% of episodes of RSV-associated lower respiratory tract illness globally in 2019 occurred in low- and middle-income countries, the hospital admission rate for RSV-associated lower respiratory tract illness was high and comparable in lower-middle-, upper-middle- and high-income countries, particularly for infants ≤3 months of age [1]. The age of onset of RSV and the potential seriousness of related complications demonstrate the importance of maternal vaccination against RSV.
Maternal vaccination with bivalent RSV prefusion F protein-based vaccine (RSVpreF; Abrysvo®; Pfizer AG, Zürich, Switzerland) is a licenced indication in several countries for passive protection against RSV-associated lower respiratory tract illness in infants from birth to 6 months of age. The approval of RSVpreF for maternal vaccination was predominantly based on the findings from the pivotal global phase 3 trial Maternal Immunization Study for Safety and Efficacy (MATISSE) that included more than 7000 pregnant women and their infants [2]. Pregnant individuals were randomised to receive RSVpreF (120 µg; 60 µg each of RSV-A and RSV-B antigens, which are the 2 cocirculating strains causing disease) or placebo at 24−36 weeks of gestation. At the primary analysis, RSVpreF was efficacious in preventing severe medically attended (i.e. infant participant was taken to or seen by a healthcare provider, which could include outpatient, inpatient, emergency department, urgent care, or home visits) RSV-associated lower respiratory tract illness within 90 days (vaccine efficacy: 81.8%) and 180 days after birth (vaccine efficacy: 69.4%). RSVpreF had a favourable safety profile both in pregnant women and their infants.
Licenced indications and recommendations for gestational age (GA) at administration of maternal RSVpreF vaccination vary by country (i.e. 24‒36, 28‒36 or 32‒36 weeks) [3–5]. Concern regarding preterm births occurring during the study, for which available data from MATISSE were insufficient to exclude causal links with RSVpreF, was a consideration for some regulatory and guideline committees in putting forth these recommendations [3]. RSVpreF received marketing authorisation from Swissmedic on 23 August 2024, for passive protection against RSV-associated lower respiratory tract illness in infants from birth to 6 months of age after immunisation of pregnant women at 32−36 weeks of gestation [6]. In Switzerland, it is recommended that pregnant women aged 18 years or over be offered RSVpreF between 32 and 36 weeks of gestation from October to February (i.e. the RSV season in Switzerland) if the expected delivery date is before the end of March [7].
Because the indicated GA window for maternal RSVpreF vaccination in Switzerland is shorter compared with that used in the pivotal MATISSE trial, a post hoc analysis of clinical efficacy endpoints was conducted within the subgroup of participants from MATISSE who received RSVpreF or placebo at 32−36 weeks of gestation (and at least 14 days before delivery) to demonstrate the clinical efficacy of RSVpreF in this subset of pregnant women.
The design of MATISSE (ClinicalTrials.gov Identifier: NCT04424316) has been described previously [2]. Briefly, it was a double-blind, randomised, phase 3 trial conducted in both the Northern Hemisphere (i.e. Canada, Denmark, Finland, the Gambia, Japan, Republic of Korea, Mexico, the Netherlands, Spain, Taiwan and the United States) and the Southern Hemisphere (i.e. Argentina, Australia, Brazil, Chile, New Zealand, the Philippines and South Africa) over 4 RSV seasons (i.e. 2 seasons in each hemisphere). Healthy pregnant women ≤49 years of age with uncomplicated, singleton pregnancies were randomly assigned to receive a single dose of RSVpreF 120 μg or placebo in a 1:1 ratio. Inclusion/exclusion criteria are provided in the Supplementary Materials. Before enrolment, all participants provided written informed consent for themselves and their newborns for inclusion in the study and each site’s ethics committee approved the study protocol. Study conduct complied with global ethical principles for medical research involving human participants, good clinical practice guidelines and all applicable laws and regulations. The study was conducted according to the guidelines of the Declaration of Helsinki and approved by multiple institutional review boards, including the Central Western Institutional Review Board (Puyallup, WA, USA) on 26 June 2020 (Protocol C3671008).
The two primary efficacy endpoints were vaccine efficacy against severe medically attended and medically attended RSV-associated lower respiratory tract illness in infants occurring within 90 and 180 days after birth. Secondary efficacy endpoints included vaccine efficacy against medically attended RSV-associated lower respiratory tract illness, RSV-associated hospitalisations and all-cause medically attended lower respiratory tract illness in infants within 360 days after birth. Aligned with recommended timeline thresholds for evaluation of the safety of vaccines used during pregnancy [8], safety endpoints in maternal participants and their infants included adverse events to 1 month after vaccination or birth, respectively, and serious adverse events to 6 months after delivery (maternal participants) or 12 or 24 months after birth (infant participants, depending on time of enrolment). Specific birth outcomes were also collected for infant participants. Reported here is a descriptive post hoc analysis of efficacy and safety endpoints from MATISSE among the subgroup of newborns whose mothers received RSVpreF or placebo at 32–36 weeks of gestation.
The evaluation of RSVpreF efficacy in infants via maternal vaccination as per the recommended gold standard [9], commenced with the surveillance of respiratory tract illness in infants 72 hours after birth to 1 year (or 2 years for infants enrolled in the first year of the trial) and visits were documented for all medically attended respiratory tract illness to 6 months as described previously [2]. Vaccine efficacy was estimated from the number of total disease cases and the number of disease cases in the RSVpreF group to the placebo group. Vaccine efficacy was calculated as (1–RR) × 100, with RR being the relative risk for the specific efficacy endpoint based on the incidence in the RSVpreF group compared with that in the placebo group, where RR = hP/(1–P); P is the number of cases in the RSVpreF group divided by the total number of cases and h is the ratio of the number of participants at risk in the placebo group to the number of participants at risk in the RSVpreF group. Vaccine efficacy and associated 2-sided 95% CIs were estimated using the conditional exact method [10]. As a post hoc analysis, no formal statistical efficacy hypotheses were defined and no adjustments for multiplicity were made. Safety data are presented descriptively based on the final MATISSE analysis.
The MATISSE trial was initiated in June 2020, and the cutoff date for these post hoc infant efficacy analyses was 30 September 2022. Of the 7392 maternal participants included in the primary analysis of the MATISSE trial, 3285 (RSVpreF: 1653; placebo: 1632) received vaccination at a GA of 32–36 weeks and were included in this analysis. Efficacy was evaluated in a total of 1628 and 1604 infants who were born to mothers receiving RSVpreF or placebo, respectively. Reasons infants born to maternal participants were not included in the efficacy analysis included withdrawal before delivery (9 [0.3%]), continuing in the study but not yet delivered (36 [1.1%]) and infants not enrolled (8 [0.2%]).
Demographic characteristics were similar across the trial groups (table 1). Among maternal participants, 70% were White, 14% Black and 12% Asian; 32% were Hispanic or Latina. Median age at vaccination was 30 years (range: 16 to 47 years) and median GA was 34.1 weeks (range: 32.0–36.0 weeks). Among infant participants, 51% were male (table 2).
Table 1Demographic characteristics of the maternal participants in the post hoc analysis population.
| Characteristic | RSVpreF (n = 1653*) | Placebo (n = 1632*) | |
| Female, n (%) | 1653 (100.0%) | 1632 (100.0%) | |
| Age at vaccination, years | Mean (SD) | 29.8 (5.56) | 29.7 (5.64) |
| Median (range) | 30.0 (16–45) | 30.0 (16–47) | |
| Gestational age at vaccination, weeks | Mean (SD) | 34.1 (1.22) | 34.1 (1.22) |
| Median (range) | 34.1 (32.0–36.0) | 34.1 (32.0–36.0) | |
| Race, n (%) | White | 1155 (69.9%) | 1157 (70.9%) |
| Black | 240 (14.5%) | 228 (14.0%) | |
| Asian | 207 (12.5%) | 195 (11.9%) | |
| American Indian or Alaska Native | 13 (0.8%) | 15 (0.9%) | |
| Native Hawaiian or other Pacific Islander | 7 (0.4%) | 6 (0.4%) | |
| Multiracial | 9 (0.5%) | 10 (0.6%) | |
| Not reported | 19 (1.1%) | 14 (0.9%) | |
| Unknown | 3 (0.2%) | 7 (0.4%) | |
| Ethnicity, n (%) | Hispanic/Latina | 520 (31.5%) | 541 (33.1%) |
| Non-Hispanic/non-Latina | 1113 (67.3%) | 1076 (65.9%) | |
| Not reported or unknown | 20 (1.2%) | 15 (0.9%) | |
RSVpreF: respiratory syncytial virus prefusion F protein-based vaccine; SD: standard deviation.
* Number of participants in the safety population; value used for denominator for percentage calculation.
Table 2Demographic characteristics and birth outcomes of the infant participants in the post hoc analysis population.
| Characteristic or birth outcome | RSVpreF (n = 1628*) | Placebo (n = 1604*) | |
| Sex, n (%) | Male | 838 (51.5%) | 793 (49.4%) |
| Female | 790 (48.5%) | 811 (50.6%) | |
| Race, n (%) | White | 1116 (68.6%) | 1121 (69.9%) |
| Black | 234 (14.4%) | 222 (13.8%) | |
| Asian | 196 (12.0%) | 186 (11.6%) | |
| American Indian or Alaskan Native | 18 (1.1%) | 16 (1.0%) | |
| Native Hawaiian or other Pacific Islander | 10 (0.6%) | 7 (0.4%) | |
| Multiracial | 35 (2.1%) | 35 (2.2%) | |
| Not reported | 13 (0.8%) | 13 (0.8%) | |
| Unknown | 6 (0.4%) | 4 (0.2%) | |
| Ethnicity, n (%) | Hispanic/Latino | 524 (32.2%) | 523 (32.6%) |
| Non-Hispanic/non-Latino | 1087 (66.8%) | 1061 (66.1%) | |
| Not reported or unknown | 17 (1.0%) | 20 (1.2%) | |
| Gestational age at birth, n (%) | 28 weeks to <34 weeks | 2 (0.1%) | 2 (0.1%) |
| 34 weeks to <37 weeks | 66 (4.1%) | 57 (3.6%) | |
| 37 weeks to <42 weeks | 1547 (95.0%) | 1530 (95.4%) | |
| ≥42 weeks | 13 (0.8%) | 14 (0.9%) | |
| Apgar score at 5 minutes, n (%) | n | 1620 | 1592 |
| <4 | 6 (0.4%) | 3 (0.2%) | |
| 4 to <7 | 15 (0.9%) | 14 (0.9%) | |
| 7 to 10 | 1599 (98.7%) | 1575 (98.9%) | |
| Median (range) | 9.0 (1–10) | 9.0 (2–10) | |
| Birth outcome, n (%) | Normal | 1455 (89.4%) | 1426 (88.9%) |
| Congenital malformation/anomaly | 85 (5.2%) | 93 (5.8%) | |
| Other neonatal problem | 88 (5.4%) | 85 (5.3%) | |
| Very low birthweight (>1000 g to 1500 g) | 0 | 1 (<0.1%) | |
| Low birthweight (>1500 g to 2500 g) | 67 (4.1%) | 54 (3.4%) | |
| Developmental delay** | 8 (0.5%) | 7 (0.4%) | |
RSVpreF: respiratory syncytial virus prefusion F protein-based vaccine; SD: standard deviation.
* Number of participants in the safety population; value used as denominator for percentage calculation.
** Developmental delay refers to an adverse event of special interest reported at any time after birth during the study period.
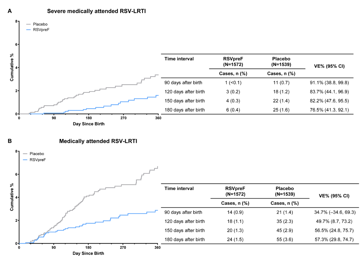
Based on data for the primary analysis (data cutoff for infant efficacy: 30 September 2022), 12 cases of severe medically attended RSV-associated lower respiratory tract illness accrued within 90 days of birth (RSVpreF: 1 [<0.1%]; placebo: 11 [0.7%]) and 31 cases within 180 days of birth (RSVpreF: 6 [0.4%]; placebo: 25 [1.6%]; figure 1A). RSVpreF vaccine efficacy against severe medically attended RSV-associated lower respiratory tract illness was 91.1% (95% CI: 38.8–99.8%) and 76.5% (95% CI: 41.3–92.1%) within 90 and 180 days of birth, respectively. Within 90 days of birth, 35 cases of medically attended RSV-associated lower respiratory tract illness had accrued (RSVpreF: 14 [0.9%]; placebo: 21 [1.4%]), with 79 cases accruing within 180 days of birth (RSVpreF: 24 [1.5%]; placebo: 55 [3.6%]; figure 1B). RSVpreF vaccine efficacy against medically attended RSV-associated lower respiratory tract illness was 34.7% (95% CI: –34.6–69.3%) and 57.3% (95% CI: 29.8–74.7%) within 90 and 180 days of birth, respectively.

Figure 1Vaccine efficacy for (A) severe medically attended RSV-associated lower respiratory tract illness and (B) medically attended RSV-associated lower respiratory tract illness within 180 days after birth in the efficacy-evaluable population. An endpoint adjudication committee confirmed all cases. Vaccine efficacy was calculated as 1–(hP/[1–P]) and expressed as a percentage, where P is the number of cases in the RSVpreF group divided by the total number of cases and h is the ratio of number of participants at risk in the placebo group to the number of participants at risk in the RSVpreF group. Severe medically attended RSV-associated lower respiratory tract illness included infants with a medically attended visit for a respiratory tract illness and an RSV-positive test result, and either very fast breathing (RR ≥70 for <2 months of age [<60 days of age], RR ≥60 for 2–<12 months of age or RR ≥50 for 12–24 months of age), SpO2 <93%, high-flow nasal cannula or mechanical ventilation, intensive care unit admission for >4 hours or failure to respond/unconsciousness. Medically attended RSV-associated lower respiratory tract illness included infants with a medically attended visit for a respiratory tract illness and an RSV-positive RT-PCR or NAAT result, and either fast breathing (RR ≥60 for <2 months of age [<60 days of age], RR ≥50 for 2–<12 months of age or RR ≥40 for 12–24 months of age), SpO2 <95% or chest wall indrawing. NAAT: nucleic acid amplification test; RR: respiratory rate; RSV-LRTI: lower respiratory tract illness associated with respiratory syncytial virus; RSVpreF: respiratory syncytial virus prefusion F protein−based vaccine; RT‑PCR: reverse transcriptase-polymerase chain reaction; SpO2: oxygen saturation; VE: vaccine efficacy.
The RSVpreF vaccine efficacy against medically attended RSV-associated lower respiratory tract illness to 360 days after birth is presented in table 3; RSVpreF vaccine efficacy for medically attended RSV-associated lower respiratory tract illness occurring to 210 and 360 days after birth was 59.9% (95% CI: 35.1–75.9%) and 56.9% (95% CI: 34.3–72.3%), respectively.
Table 3Vaccine efficacy against medically attended RSV-associated lower respiratory tract illness within 210 to 360 days after birth for the evaluable efficacy population.
| Time interval | RSVpreF (n = 1572*), number of cases (%) | Placebo (n = 1539*), number of cases (%) | VE, % (95% CI)** |
| 210 days after birth | 25 (1.6%) | 61 (4.0%) | 59.9% (35.1–75.9%) |
| 240 days after birth | 28 (1.8%) | 62 (4.0%) | 55.8% (29.9–72.8%) |
| 270 days after birth | 30 (1.9%) | 64 (4.2%) | 54.1% (28.1–71.3%) |
| 360 days after birth | 33 (2.1%) | 75 (4.9%) | 56.9% (34.3–72.3%) |
RSV: lower respiratory syncytial virus; RSVpreF: respiratory syncytial virus prefusion F protein-based vaccine; VE: vaccine efficacy.
* Number of at-risk participants; value used as denominator for percentage calculation.
** VE was calculated as 1–(hP/[1–P]) and expressed as a percentage, where P is the number of cases in the RSVpreF group divided by the total number of cases and h is the ratio of number of participants at risk in the placebo group to the number of participants at risk in the RSVpreF group.
Within 90 days of birth, 16 (RSVpreF: 4 [0.3%]; placebo: 12 [0.8%]) hospitalisations due to RSV occurred, with 26 (RSVpreF: 9 [0.6%]; placebo: 17 [1.1%]) hospitalisations occurring within 180 days of birth (table 4). The RSVpreF vaccine efficacy against RSV-associated hospitalisations was 67.4% (95% CI: –7.7–92.3%) and 48.2% (–22.9–79.6%) within 90 and 180 days of birth, respectively.
Table 4Vaccine efficacy against hospitalisations due to RSV occurring within 90 to 360 days after birth in the evaluable efficacy population.
| Time interval | RSVpreF (n = 1572*), number of cases (%) | Placebo (n = 1539*), number of cases (%) | VE, % (95% CI)** |
| 90 days after birth | 4 (0.3%) | 12 (0.8%) | 67.4% (–7.7–92.3%) |
| 120 days after birth | 7 (0.4%) | 14 (0.9%) | 51.0% (–29.6–83.3%) |
| 150 days after birth | 8 (0.5%) | 15 (1.0%) | 47.8% (–31.2–80.8%) |
| 180 days after birth | 9 (0.6%) | 17 (1.1%) | 48.2% (–22.9–79.6%) |
| 360 days after birth | 15 (1.0%) | 22 (1.4%) | 33.2% (–34.6–67.8%) |
RSV: respiratory syncytial virus; RSVpreF: respiratory syncytial virus prefusion F protein-based vaccine; VE: vaccine efficacy.
An endpoint adjudication committee confirmed all cases.
Infants were hospitalised due to an RSV-confirmed illness, but not all cases met the criteria for severe lower respiratory tract illness.
* Number of at-risk participants; values used as denominators for percentage calculation.
** VE was calculated as 1–(hP/[1–P]) and expressed as a percentage, where P is the number of cases in the RSVpreF group divided by the total number of cases and h is the ratio of number of participants at risk in the placebo group to the number of participants at risk in the RSVpreF group.
RSVpreF vaccination was not effective at preventing all-cause medically attended lower respiratory tract illness; there were 142 cases (RSVpreF: 70 [4.5%]; placebo: 72 [4.7%]) within 90 days of birth and 333 cases (RSVpreF: 162 [10.3%]; placebo: 171 [11.1%]) within 180 days of birth (table S1). The RSVpreF vaccine efficacy against all-cause medically attended lower respiratory tract illness occurring 0–90 and 0–180 days after birth was 4.8% (95% CI: –34.1–32.5%) and 7.3% (95% CI: –15.7–25.7%), respectively.
Safety analyses are based on data from the final analysis (data cutoff for safety, 2 September 2022). Infant birth outcomes were similar between RSVpreF and placebo groups (table 2). The adverse event profiles for maternal and infant participants were generally similar between RSVpreF and placebo groups. Among maternal participants with a gestational age at vaccination of 32–36 weeks, adverse events within 1 month after vaccination were reported by 18.0% of participants in the RSVpreF group and 16.9% in the placebo group (table 5). Corresponding rates for infant participants within 1 month after birth were 38.0% and 34.7%, respectively. The serious adverse events reported in >0.1% of maternal and infant participants are shown in table S3 and table S4; there were no notable differences between groups.
Table 5Adverse events by category within 1 month after vaccination in maternal participants vaccinated at a gestational age of 32–36 weeks.
| Maternal participants | RSVpreF (n = 1653) | Placebo (n = 1632) |
| Any event, n (%) | 298 (18.0%) | 275 (16.9%) |
| Serious, n (%) | 107 (6.5%) | 98 (6.0%) |
| Immediate* | 0 | 0 |
| Severe, n (%) | 42 (2.5%) | 35 (2.1%) |
| Life-threatening, n (%) | 13 (0.8%) | 8 (0.5%) |
| Related, n (%) | 8 (0.5%) | 2 (0.1%) |
| Adverse events of special interest, n (%) | 70 (4.2%) | 67 (4.1%) |
| Adverse events leading to withdrawal | 0 | 0 |
| Infant participants | RSVpreF (n = 1628) | Placebo (n = 1604) |
| Any event, n (%) | 618 (38.0%) | 557 (34.7%) |
| Serious, n (%) | 261 (16.0%) | 243 (15.1%) |
| Severe, n (%) | 67 (4.1%) | 55 (3.4%) |
| Life-threatening, n (%) | 17 (1.0%) | 17 (1.1%) |
| Related | 0 | 0 |
| Adverse events of special interest, n (%) | 113 (6.9%) | 94 (5.9%) |
| Congenital anomalies, n (%) | 88 (5.4%) | 97 (6.0%) |
| Newly diagnosed chronic medical conditions, n (%) | 4 (0.2%) | 1 (<0.1%) |
| Adverse events leading to withdrawal | 0 | 0 |
RSVpreF: respiratory syncytial virus prefusion F protein−based vaccine
* An immediate adverse event is defined as any adverse event that occurred within the first 30 minutes after administration of the investigational product for maternal participants.
This post hoc analysis of clinical efficacy for the subgroup of participants from MATISSE who received RSVpreF or placebo at 32−36 weeks of gestation was conducted in accordance with the indicated GA window for maternal RSVpreF vaccination in Switzerland. In this descriptive post hoc analysis, vaccine efficacy against severe medically attended RSV-associated lower respiratory tract illness within 90 days of birth was 91.1%, which was consistent with the primary analysis (81.8%) that included participants at 24−36 weeks of gestation [2]. Vaccine efficacy against severe medically attended RSV-associated lower respiratory tract illness within 180 days of birth was also consistent between this post hoc analysis and the primary analyses (76.5% and 69.4%, respectively) [2]. For medically attended RSV-associated lower respiratory tract illness among infants, vaccine efficacy percentages within 90 days of birth were 34.7% in this analysis and 57.1% in the primary analysis, while vaccine efficacy percentages within 180 days of birth were 57.3% and 51.3%, respectively [2]. Vaccine efficacy against RSV-associated hospitalisation within 90 days of birth was similar in the post hoc versus primary analyses (67.4% and 67.7%, respectively) [2].
In the primary and final MATISSE analyses, RSVpreF was safe in maternal participants and their infants with favourable adverse event profiles and pregnancy and birth outcomes similar to those in the placebo group [2, 11]. Most local reactions and systemic events in maternal participants were mild to moderate, and adverse event and serious adverse event profiles were similar to those of placebo for maternal and infant participants [2]. Additionally, a post hoc descriptive safety analysis found that maternal RSVpreF vaccination was not associated with clinically significant increases in adverse events of special interest, including preterm birth, low birthweight and neonatal hospitalisation in the overall study population [12]. In this analysis of maternal participants from MATISSE who received RSVpreF or placebo at 32−36 weeks of gestation, safety results were consistent with those of the primary and final analyses.
Although immunogenicity was not assessed as part of the primary analysis, in the final MATISSE analysis, RSVpreF elicited robust immune responses in maternal participants and their infants compared with placebo regardless of GA at vaccination [11]. Among infants of maternal participants in the RSVpreF group, RSV-A/RSV-B combined titres at birth were well above the 50% RSV-neutralising titres of a serum palivizumab threshold of 100 mg/ml (which is estimated to provide ≥97.5% protection from paediatric intensive care unit admission for newborns and infants at high risk of severe RSV disease attributed to RSV-A/RSV-B) [11].
Study limitations noted previously for the MATISSE trial include the exclusion of individuals who had high-risk pregnancies and limited data from low-income countries where RSVpreF may be most impactful in preventing severe disease and mortality in infants [2]. Therefore, the findings reported herein may not be generalisable to all populations. Additionally, in this post hoc analysis, vaccine efficacy calculations are descriptive in nature and therefore should be interpreted with caution. Nevertheless, it is encouraging that vaccine efficacy in this subgroup is consistent with that in the primary analysis. It will be important to monitor real-world data after uptake and implementation in Switzerland and any other countries, including those in Europe, licencing RSVpreF for pregnant women to underscore these findings and enable ongoing assessment of RSVpreF effectiveness.
In conclusion, this post hoc analysis of MATISSE trial data demonstrates that maternal vaccination with RSVpreF in pregnant women at 32−36 weeks of gestation is safe and efficacious against RSV-associated lower respiratory tract illness in infants up to 6 months of age, supporting the conclusions of the primary analysis.
Upon request, and subject to review, Pfizer will provide the data that support the findings of this study. Subject to certain criteria, conditions and exceptions, Pfizer may also provide access to the related individual deidentified participant data. See https://www.pfizer.com/science/clinical-trials/trial-data-and-results for more information.
We thank all MATISSE study sites and investigators and all the participants and their infants who contributed to this trial. Medical writing support was provided by Sheena Hunt, PhD, and Tricia Newell, PhD, of ICON (Blue Bell, PA, USA) and was funded by Pfizer Inc.
Author contributions: All authors made substantial contributions to the conception or design of the work, or acquisition, analysis or interpretation of data for the work. All authors revised the work critically for important intellectual content and approved the version to be published. Authors agree to be accountable for all aspects of the work in ensuring that questions related to the accuracy or integrity of any part of the work are appropriately investigated and resolved.
This work was sponsored by Pfizer Inc.
All authors have completed and submitted the International Committee of Medical Journal Editors form for disclosure of potential conflicts of interest. All authors are employees of Pfizer and may hold stock or stock options.
1. Li Y, Wang X, Blau DM, Caballero MT, Feikin DR, Gill CJ, et al.; Respiratory Virus Global Epidemiology Network; RESCEU investigators. Global, regional, and national disease burden estimates of acute lower respiratory infections due to respiratory syncytial virus in children younger than 5 years in 2019: a systematic analysis. Lancet. 2022 May;399(10340):2047–64. doi: https://doi.org/10.1016/S0140-6736(22)00478-0
2. Kampmann B, Madhi SA, Munjal I, Simões EA, Pahud BA, Llapur C, et al.; MATISSE Study Group. Bivalent prefusion F vaccine in pregnancy to prevent RSV illness in infants. N Engl J Med. 2023 Apr;388(16):1451–64. doi: https://doi.org/10.1056/NEJMoa2216480
3. ABRYSVO (RSVpreF). Full Prescribing Information. New York (NY): Pfizer Inc; 2023.
4. ABRYSVO (RSVpreF). Summary of Product Characteristics. Bruxelles, Belgium: Pfizer Europe MA EEIG; 2023.
5. Electronic Medicines Compendium. Package leaflet: Information for the user. Abrysvo® powder and solvent for solution for injection. Available at: https://www.medicines.org.uk/emc/files/pil.15309.pdf. Accessed April 8, 2025.
6. Swiss Agency for Therapeutic Products. Swissmedic Journal 08/2024. Swissmedic. Available at: https://www.swissmedic.ch/swissmedic/en/home/about-us/publications/swissmedic-journal/swissmedic-journal-2024.html. Accessed April 21, 2025.
7. Swiss Federal Office of Public Health. BAG-Bulletin 47/2024 (18 November 2024). Available at: https://www.bag.admin.ch/dam/de/sd-web/g0ZwfShEIyXp/bu-47-24.pdf
8. Jones CE, Munoz FM, Spiegel HM, Heininger U, Zuber PL, Edwards KM, et al.; Brighton Collaboration Immunization in Pregnancy Working Group. Guideline for collection, analysis and presentation of safety data in clinical trials of vaccines in pregnant women. Vaccine. 2016 Dec;34(49):5998–6006. doi: https://doi.org/10.1016/j.vaccine.2016.07.032
9. Roberts JN, Gruber MF. Regulatory considerations in the clinical development of vaccines indicated for use during pregnancy. Vaccine. 2015 Feb;33(8):966–72. doi: https://doi.org/10.1016/j.vaccine.2014.12.068
10. Chan IS, Bohidar NR. Exact power and sample size for vaccine efficacy studies. Commun Stat Theory Methods. 1998;27(6):1305–22. doi: https://doi.org/10.1080/03610929808832160
11. Simões EA, Pahud BA, Madhi SA, Kampmann B, Shittu E, Radley D, et al.; MATISSE (Maternal Immunization Study for Safety and Efficacy) Clinical Trial Group. Efficacy, safety, and immunogenicity of the MATISSE (Maternal Immunization Study for Safety and Efficacy) maternal respiratory syncytial virus prefusion F protein vaccine trial. Obstet Gynecol. 2025 Feb;145(2):157–67. doi: https://doi.org/10.1097/AOG.0000000000005816
12. Madhi SA, Kampmann B, Simões EA, Zachariah P, Pahud BA, Radley D, et al. Preterm birth frequency and associated outcomes from the MATISSE (Maternal Immunization Study for Safety and Efficacy) maternal trial of the bivalent respiratory syncytial virus prefusion F protein vaccine. Obstet Gynecol. 2025 Feb;145(2):147–56. doi: https://doi.org/10.1097/AOG.0000000000005817
The appendix is available in the pdf version of the article at https://doi.org/10.57187/s.4711.