DOI: https://doi.org/https://doi.org/10.57187/s.4354
The COVID-19 pandemic caused an unprecedented burden on healthcare systems worldwide with wide-ranging implications. Pandemic measures including mandated lockdowns, restricted and disrupted access to healthcare services as well as altered health-seeking behaviour have been shown to affect a broad range of health conditions including cancer [1]. Several studies in European countries have shown a decrease in the number of new cancer diagnoses [2–8], a shift towards higher stages at diagnosis [9–11] and a decrease in one-year survival [12] during the pandemic. However, a recent systematic review on the impact of the COVID-19 pandemic on cancer diagnoses worldwide reported considerable heterogeneity in estimates across countries [13]. This may be explained by the extent of how the respective countries were affected by COVID-19, their lockdown measures and the response of their healthcare system to the pandemic. In Switzerland, the first COVID-19 cases were registered in February 2020. The government enforced a general lockdown from 17 March to 26 April 2020 [14]. During this period, all non-urgent examinations and treatments were federally prohibited throughout Switzerland. After this period, hospitals were repeatedly asked to reserve inpatient capacity for potential increases in COVID-19 cases. Indeed, a substantial overall reduction in hospital admissions was reported during 2020 in Switzerland, particularly in elective procedures [15].
Although cancer remains a leading cause of death, and early diagnosis and treatment benefit patient outcomes [16], little is known about the impact of the COVID-19 pandemic on cancer outcomes in Switzerland. The Swiss Federal Statistical Office found almost 3900 fewer hospitalisations due to cancer (−16%) between 16 March and 24 May 2020 [14]. Additionally, organised screening programmes (breast cancer, colorectal cancer) were interrupted and the number of mammographies and colonoscopies decreased substantially during the lockdown period [17]. One Swiss study revealed a shift in newly diagnosed melanomas towards stage IV during the lockdown [18]. Last, data from the cantons of Zurich and Zug from 2018 to 2021 have shown a decrease in registered cancer cases during the first year of the COVID-19 pandemic, which was particularly pronounced during the lockdown [19]. However, a comprehensive nationwide overview including the most common cancer types is lacking.
In this population-based study, we aimed to investigate the impact of the COVID-19 pandemic on cancer incidence, stage distribution at diagnosis and one-year survival in Switzerland by comparing data from pre-pandemic years (2017–2019) and pandemic years (2020, 2021).
In Switzerland, registration of adult cancer cases is organised on a cantonal level and cases are reported to the responsible cantonal cancer registry. Cancer cases of patients aged below 20 years are reported to the national childhood cancer registry. Cancer registry data are anonymously centralised and evaluated at the national level by the National Agency for Cancer Registration (NACR). Since 2020, cancer registration is regulated by the Cancer Registration Act [20]. The law obliges private and public medical institutions to report all cancer cases to the cancer registry in charge [20]. Due to the lack of complete data on pre-pandemic years, three cantons (Schaffhausen, Schwyz, Solothurn), which started cancer registration in 2019 or 2020, were excluded from the analyses.
In Switzerland, cancer cases are defined according to the tenth revision of the international classification of diseases (ICD-10) [21]. In this study, we included all cases with a malignant primary cancer diagnosis (all cancers; ICD-10 C00 to C97, excluding C44 non-melanoma skin cancer) diagnosed between 2017 and 2021. We separately examined the five most common cancer types in Switzerland: female breast cancer (ICD-10 C50), colorectal cancer (ICD-10 C18–C20), lung cancer (ICD-10 C33–C34), melanoma (ICD-10 C43) and prostate cancer (ICD-10 C61).
We first descriptively summarised baseline characteristics of registered cancer cases stratified by cancer type. We then compared our main outcomes – cancer incidence, stage distribution at diagnosis and one-year survival – between pre-pandemic years (2017–2019) and pandemic years (2020, 2021). Cancer cases diagnosed between 2017 and 2019 were averaged into a pre-pandemic period to reduce random annual fluctuation. We evaluated the incidence years 2020 and 2021 separately to account for different governmental COVID-19-related measures during these years. All analyses for all cancers and separately for the five most common cancer types were carried out using the software R (version 4.3.3) [22].
We estimated the total number of cancer cases (incidence counts) in the Swiss population by extrapolating observed cases from cantons included in the study. This extrapolation assumed that the cancer incidence rates in included cantons is equivalent to those not included, while adjusting for language region, age, sex and year of incidence [23]. We additionally calculated directly age-standardised cancer incidence rates based on observed cases from the cantons included in the study. Incidence rates were first age-standardised using the 1976 European Standard Population. These rates were additionally weighted to reflect the demographic structure of the Swiss population, accounting for sex, age and language region [23]. We calculated 95% confidence intervals (CIs) for standardised incidence rates using the method by Fay and Feuer [24].
The estimated counts and age-standardised rates were calculated annually and monthly for the incidence periods (2017–2019, 2020, 2021), for all cancers and stratified by cancer type. We then calculated absolute and relative differences in annual and monthly incidence counts between the pre-pandemic period (2017–2019) and the pandemic years 2020 and 2021, respectively.
We calculated the stage distribution at diagnosis following the rules outlined in the Union of International Cancer Control’s (UICC) TNM classification of malignant tumours, 8th edition [25]. TNM staging required at least some recorded information on T (tumour size), N (node involvement) and M (metastasis) categories, either clinically or pathologically. For the analysis of stage distribution, we excluded data from two cantons (Vaud, Aargau) due to insufficient completeness of TNM data. To determine the stage, we prioritised pathological TNM data. In cases where neoadjuvant therapy was administered (6.6% of all cases) or if pathological information was unavailable, clinical TNM data were used. Stage distributions (stages I–IV, unknown) were compared descriptively between pre-pandemic years (2017–2019) and pandemic years (2020, 2021).
Survival time was calculated from the date of incidence to the date of death or the last known date alive. We evaluated one-year survival using two measures. Observed survival represents the time from incidence date to date of death from any cause, while relative survival incorporates general population expected mortality rates to account for mortality from causes unrelated to cancer. The analysis was age-adjusted using weights from the International Cancer Survival Standard (ICSS) to ensure comparability across time periods [26]. Both age-adjusted observed and relative one-year survival rates were calculated for the periods 2017–2019, 2020 and 2021. Relative survival was estimated with the Ederer II method [27], using life tables obtained from the Swiss Federal Statistical Office (FSO). Survival analyses were performed using the popEpi package in R [28].
We included 218,736 cancer cases diagnosed between 2017 and 2021 (table 1). The annual number of all cancer cases was higher in 2021 (46,051) than in 2020 (43,830) and 2017–2019 (annual average: 42,952). This increase was mainly observed for melanoma and prostate cancer whereas the annual distribution of female breast cancer, colorectal cancer and lung cancer was similar across incidence years. Of all cancer cases, 67.4% were from the German-speaking language region. The median age at incidence of all cancers was 69.7 years (interquartile range [IQR] 18.2). The median age at incidence was comparable across cancer types, except for female breast cancer with a lower median age at incidence of 64.3 years (IQR 22.8). For all cancers overall and also colorectal cancer, lung cancer and melanoma, more males (54.8%, 55.7%, 56.9% and 54.0%, respectively) than females were affected.
Table 1Characteristics of included cancer cases in Switzerland in the period 2017–2021 (based on observed cases from Swiss cantons included in the study).
| All cancers* | Female breast cancer* | Colorectal cancer* | Lung cancer* | Melanoma* | Prostate cancer* | ||
| Total number of cases | 218,736 | 31,074 | 21,027 | 23,264 | 15,480 | 36,588 | |
| Sex, n (%) | Female | 98,940 (45.2%) | 31,074 (100.0%) | 9319 (44.3%) | 10,031 (43.1%) | 7118 (46.0%) | – |
| Male | 119,796 (54.8%) | – | 11,708 (55.7%) | 13,233 (56.9%) | 8362 (54.0%) | 36,588 (100.0%) | |
| Age at incidence, n (%) | 0–49 years | 23,442 (10.7%) | 5986 (19.3%) | 1717 (8.2%) | 626 (2.7%) | 2882 (18.6%) | 280 (0.8%) |
| 50–74 years | 122,334 (55.9%) | 17,258 (55.5%) | 10,650 (50.6%) | 14,482 (62.3%) | 7858 (50.8%) | 25,067 (68.5%) | |
| ≥75 years | 72,960 (33.4%) | 7830 (25.2%) | 8660 (41.2%) | 8156 (35.1%) | 4740 (30.6%) | 11,241 (30.7%) | |
| Median (IQR) | 69.7 (18.2) | 64.3 (22.8) | 72.0 (18.9) | 71.2 (14.2) | 67.1 (23.2) | 70.7 (12.1) | |
| Incidence year, n (%) | 2017 | 42,168 (19.3%) | 6042 (19.4%) | 4204 (20.0%) | 4573 (19.7%) | 2888 (18.7%) | 6799 (18.6%) |
| 2018 | 42,943 (19.6%) | 6097 (19.6%) | 4285 (20.4%) | 4617 (19.8%) | 3060 (19.8%) | 6893 (18.8%) | |
| 2019 | 43,744 (20.0%) | 6384 (20.5%) | 4218 (20.1%) | 4674 (20.1%) | 3060 (19.8%) | 7230 (19.8%) | |
| 2020 | 43,830 (20.0%) | 6081 (19.6%) | 4132 (19.7%) | 4687 (20.1%) | 3123 (20.2%) | 7393 (20.2%) | |
| 2021 | 46,051 (21.1%) | 6470 (20.8%) | 4188 (19.9%) | 4713 (20.3%) | 3349 (21.6%) | 8273 (22.6%) | |
| Language region, n (%) | German-speaking | 147,478 (67.4%) | 20,506 (66.0%) | 14,196 (67.5%) | 15,187 (65.3%) | 11,145 (72.0%) | 25,423 (69.5%) |
| French-/Italian-speaking | 71,258 (32.6%) | 10,568 (34.0%) | 6831 (32.5%) | 8077 (34.7%) | 4335 (28.0%) | 11,165 (30.5%) | |
* Cancer cases were defined according to the tenth revision of the international classification of diseases (ICD-10): All cancers: all primary invasive cancers (C00 to C97, excluding C44 non-melanoma skin cancer); female breast cancer: C50; colorectal cancer: C18–C20; lung cancer: C33–C34; melanoma: C43; prostate cancer: C61.
The annual incidence counts of all cancer cases increased in 2020 and 2021 compared to 2017–2019 (tables 2–7; figure 1). This increase was more pronounced in 2021 (7.3%) than in 2020 (2.1%) and mainly observed for melanoma (2020: 4.3%; 2021: 11.9%) and prostate cancer (2020: 6.1%; 2021: 18.7%). For female breast cancer, the annual incidence counts slightly decreased in 2020 compared to 2017–2019 (−1.3%) followed by an increase in 2021 (5.1%). For colorectal cancer and lung cancer, relatively small differences in annual incidence counts were observed across incidence periods.
Table 2Difference in annual and monthly incidence counts in 2017–2019, 2020, 2021 in Switzerland for all cancers (based on estimated number of cancer cases in the Swiss population by extrapolating observed cases from Swiss cantons included in the study). Cancer cases were defined according to the tenth revision of the international classification of diseases (ICD-10): All cancers: all primary invasive cancers (C00 to C97, excluding C44 non-melanoma skin cancer). Absolute and relative differences were calculated between the average of the years 2017–2019 and the years 2020 and 2021, respectively.
| 2017–2019 (average) | 2020 | 2021 | Difference (%) 2020 vs 2017–2019 | Difference (%) 2021 vs 2017–2019 | ||
| Annual incidence | 45,785 | 46,760 | 49,117 | 975 (2.1%) | 3332 (7.3%) | |
| Monthly incidence | January | 3935 | 4233 | 3910 | 298 (7.6%) | −25 (−0.6%) |
| February | 3656 | 3983 | 3967 | 327 (8.9%) | 311 (8.5%) | |
| March | 4031 | 3906 | 4790 | −125 (−3.1%) | 759 (18.8%) | |
| April | 3548 | 2841 | 4069 | −707 (−19.9%) | 521 (14.7%) | |
| May | 4093 | 3735 | 3906 | −358 (−8.7%) | −187 (−4.6%) | |
| June | 3916 | 4145 | 4379 | 229 (5.8%) | 463 (11.8%) | |
| July | 3756 | 4140 | 3943 | 384 (10.2%) | 187 (5.0%) | |
| August | 3572 | 3815 | 3937 | 243 (6.8%) | 365 (10.2%) | |
| September | 3624 | 4097 | 4205 | 473 (13.1%) | 581 (16.0%) | |
| October | 3967 | 3998 | 3818 | 31 (0.8%) | −149 (−3.8%) | |
| November | 4144 | 4045 | 4340 | −99 (−2.4%) | 196 (4.7%) | |
| December | 3544 | 3823 | 3852 | 279 (7.9%) | 308 (8.7%) | |
Table 3Difference in annual and monthly incidence counts in 2017–2019, 2020, 2021 in Switzerland for female breast cancer (ICD-10: C50; based on estimated number of cancer cases in the Swiss population by extrapolating observed cases from Swiss cantons included in the study). Absolute and relative differences were calculated between the average of the years 2017–2019 and the years 2020 and 2021, respectively.
| 2017–2019 (average) | 2020 | 2021 | Difference (%) 2020 vs 2017–2019 | Difference (%) 2021 vs 2017–2019 | ||
| Annual incidence | 6613 | 6528 | 6952 | −85 (−1.3%) | 339 (5.1%) | |
| Monthly incidence | January | 560 | 576 | 533 | 16 (2.9%) | −27 (−4.8%) |
| February | 505 | 585 | 573 | 80 (15.8%) | 68 (13.5%) | |
| March | 595 | 519 | 689 | −76 (−12.8%) | 94 (15.8%) | |
| April | 499 | 300 | 559 | −199 (−39.9%) | 60 (12.0%) | |
| May | 608 | 462 | 539 | −146 (−24.0%) | −69 (−11.3%) | |
| June | 547 | 570 | 627 | 23 (4.2%) | 80 (14.6%) | |
| July | 513 | 632 | 563 | 119 (23.2%) | 50 (9.7%) | |
| August | 456 | 507 | 480 | 51 (11.2%) | 24 (5.3%) | |
| September | 529 | 574 | 609 | 45 (8.5%) | 80 (15.1%) | |
| October | 605 | 603 | 555 | −2 (−0.3%) | −50 (−8.3%) | |
| November | 665 | 618 | 686 | −47 (−7.1%) | 21 (3.2%) | |
| December | 530 | 583 | 538 | 53 (10.0%) | 8 (1.5%) | |
Table 4Difference in annual and monthly incidence counts in 2017–2019, 2020, 2021 in Switzerland for colorectal cancer (ICD-10: C18–C20; based on estimated number of cancer cases in the Swiss population by extrapolating observed cases from Swiss cantons included in the study). Absolute and relative differences were calculated between the average of the years 2017–2019 and the years 2020 and 2021, respectively.
| 2017–2019 (average) | 2020 | 2021 | Difference (%) 2020 vs 2017–2019 | Difference (%) 2021 vs 2017–2019 | ||
| Annual incidence | 4517 | 4400 | 4467 | −117 (−2.6%) | −50 (−1.1%) | |
| Monthly incidence | January | 396 | 389 | 373 | −7 (−1.8%) | −23 (−5.8%) |
| February | 351 | 423 | 344 | 72 (20.5%) | −7 (−2.0%) | |
| March | 411 | 354 | 448 | −57 (−13.9%) | 37 (9.0%) | |
| April | 339 | 242 | 373 | −97 (−28.6%) | 34 (10.0%) | |
| May | 385 | 346 | 327 | −39 (−10.1%) | −58 (−15.1%) | |
| June | 399 | 394 | 424 | −5 (−1.3%) | 25 (6.3%) | |
| July | 376 | 405 | 377 | 29 (7.7%) | 1 (0.3%) | |
| August | 377 | 376 | 354 | −1 (−0.3%) | −23 (−6.1%) | |
| September | 363 | 403 | 392 | 40 (11.0%) | 29 (8.0%) | |
| October | 387 | 377 | 326 | −10 (−2.6%) | −61 (−15.8%) | |
| November | 381 | 339 | 382 | −42 (−11.0%) | 1 (0.3%) | |
| December | 353 | 352 | 347 | −1 (−0.3%) | −6 (−1.7%) | |
Table 5Difference in annual and monthly incidence counts in 2017–2019, 2020, 2021 in Switzerland for lung cancer (ICD-10: C33–C34; based on estimated number of cancer cases in the Swiss population by extrapolating observed cases from Swiss cantons included in the study). Absolute and relative differences were calculated between the average of the years 2017–2019 and the years 2020 and 2021, respectively.
| 2017–2019 (average) | 2020 | 2021 | Difference (%) 2020 vs 2017–2019 | Difference (%) 2021 vs 2017–2019 | ||
| Annual incidence | 4918 | 4996 | 5017 | 78 (1.6%) | 99 (2.0%) | |
| Monthly incidence | January | 404 | 451 | 381 | 47 (11.6%) | −23 (−5.7%) |
| February | 380 | 416 | 399 | 36 (9.5%) | 19 (5.0%) | |
| March | 440 | 426 | 461 | −14 (−3.2%) | 21 (4.8%) | |
| April | 394 | 367 | 402 | −27 (−6.9%) | 8 (2.0%) | |
| May | 449 | 414 | 407 | −35 (−7.8%) | −42 (−9.4%) | |
| June | 409 | 428 | 480 | 19 (4.6%) | 71 (17.4%) | |
| July | 421 | 429 | 405 | 8 (1.9%) | −16 (−3.8%) | |
| August | 389 | 432 | 453 | 43 (11.1%) | 64 (16.5%) | |
| September | 384 | 418 | 404 | 34 (8.9%) | 20 (5.2%) | |
| October | 431 | 436 | 407 | 5 (1.2%) | −24 (−5.6%) | |
| November | 430 | 407 | 425 | −23 (−5.3%) | −5 (−1.2%) | |
| December | 386 | 373 | 396 | −13 (−3.4%) | 10 (2.6%) | |
Table 6Difference in annual and monthly incidence counts in 2017–2019, 2020, 2021 in Switzerland for melanoma (ICD-10: C43; based on estimated number of cancer cases in the Swiss population by extrapolating observed cases from Swiss cantons included in the study). Absolute and relative differences were calculated between the average of the years 2017–2019 and the years 2020 and 2021, respectively.
| 2017–2019 (average) | 2020 | 2021 | Difference (%) 2020 vs 2017–2019 | Difference (%) 2021 vs 2017–2019 | ||
| Annual incidence | 3209 | 3347 | 3592 | 138 (4.3%) | 383 (11.9%) | |
| Monthly incidence | January | 248 | 298 | 264 | 50 (20.2%) | 16 (6.5%) |
| February | 259 | 276 | 242 | 17 (6.6%) | −17 (−6.6%) | |
| March | 275 | 274 | 331 | −1 (−0.4%) | 56 (20.4%) | |
| April | 223 | 163 | 278 | −60 (−26.9%) | 55 (24.7%) | |
| May | 284 | 279 | 266 | −5 (−1.8%) | −18 (−6.3%) | |
| June | 303 | 340 | 337 | 37 (12.2%) | 34 (11.2%) | |
| July | 266 | 284 | 288 | 18 (6.8%) | 22 (8.3%) | |
| August | 264 | 314 | 290 | 50 (18.9%) | 26 (9.8%) | |
| September | 283 | 283 | 363 | 0 (0.0%) | 80 (28.3%) | |
| October | 274 | 267 | 285 | −7 (−2.4%) | 11 (4.0%) | |
| November | 295 | 302 | 362 | 7 (2.4%) | 67 (22.7%) | |
| December | 234 | 269 | 287 | 35 (15.0%) | 53 (22.6%) | |
Table 7Difference in annual and monthly incidence counts in 2017–2019, 2020, 2021 in Switzerland for prostate cancer (ICD-10: C61; based on estimated number of cancer cases in the Swiss population by extrapolating observed cases from Swiss cantons included in the study). Absolute and relative differences were calculated between the average of the years 2017–2019 and the years 2020 and 2021, respectively.
| 2017–2019 (average) | 2020 | 2021 | Difference (%) 2020 vs 2017–2019 | Difference (%) 2021 vs 2017–2019 | ||
| Annual incidence | 7463 | 7916 | 8859 | 453 (6.1%) | 1396 (18.7%) | |
| Monthly incidence | January | 717 | 812 | 788 | 95 (13.2%) | 71 (9.9%) |
| February | 631 | 705 | 768 | 74 (11.7%) | 137 (21.7%) | |
| March | 682 | 678 | 885 | −4 (−0.6%) | 203 (29.8%) | |
| April | 585 | 415 | 735 | −170 (−29.1%) | 150 (25.6%) | |
| May | 661 | 664 | 706 | 3 (0.5%) | 45 (6.8%) | |
| June | 649 | 685 | 761 | 36 (5.5%) | 112 (17.3%) | |
| July | 547 | 600 | 629 | 53 (9.7%) | 82 (15.0%) | |
| August | 578 | 647 | 721 | 69 (11.9%) | 143 (24.7%) | |
| September | 556 | 676 | 714 | 120 (21.6%) | 158 (28.4%) | |
| October | 617 | 689 | 661 | 72 (11.7%) | 44 (7.1%) | |
| November | 700 | 742 | 803 | 42 (6.0%) | 103 (14.7%) | |
| December | 541 | 604 | 688 | 63 (11.6%) | 147 (27.2%) | |

Figure 1The absolute number of monthly cancer cases for all cancers, female breast cancer, colorectal cancer, lung cancer, melanoma and prostate cancer in Switzerland for the incidence years 2017–2019, 2020 and 2021 stratified by incidence month (based on estimated number of cancer cases in the Swiss population by extrapolating observed cases from Swiss cantons included in the study).
Stratification by incidence month revealed a substantial decrease in incidence counts for all cancers from March to May 2020 including the COVID-19 lockdown period (tables 2–7; figure 1; figure S1 in the appendix). This pattern was most pronounced in April 2020 with a change of −19.9% compared to April 2017–2019. The extent of the decrease varied by cancer type and ranged from −6.9% (lung cancer) to −39.9% (breast cancer).
Stratification by age revealed that the decrease in April 2020 was most prominent for patients aged 50–74 years at diagnosis, particularly for female breast cancer and prostate cancer (figure S2).

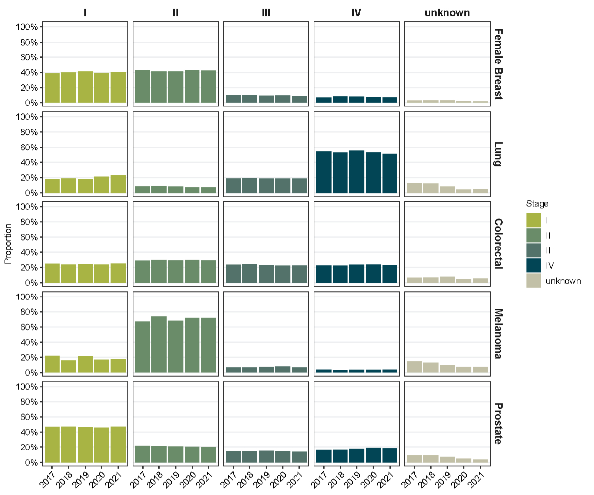
Figure 2Stage distribution based on TNM classification of malignant tumours for female breast cancer, colorectal cancer, lung cancer, melanoma and prostate cancer in Switzerland for the incidence years 2017–2019, 2020 and 2021. Percentages for stages I–IV sum to 100%. The percentage of unknown cases refers to the total number of cases per cancer type and incidence year.
A comparatively large increase in incidence counts was observed in March and April 2021 (tables 2–7; figure S1). This increase was most pronounced in March 2021, with an increase of 18.8% for all cancers compared to March 2017–2019. Cancers with the largest relative monthly increase in 2021 were prostate cancer (March: 29.8%; April: 25.6%) and melanoma (March: 20.4%; April: 24.7%), while monthly variations below 20% were observed for female breast cancer, colorectal cancer and lung cancer. Similarly, increases of 28.3% and 28.4% were also observed in September 2021 for melanoma and prostate cancer, respectively. For other months, we observed variations in incidence counts for all cancers and individual cancer types, but with no consistent patterns. Overall similar findings were observed using annual and monthly age-standardised incidence rates (appendix table S1; figure S3).
We observed no clear shifts in stage distribution between 2017–2019, 2020 and 2021 (figure 2). However, we observed a decrease in the proportion of cases with unknown stage for all cancer types from 2017 to 2021. This decrease was most pronounced for melanoma (table S2) (14.6% in 2017 vs 3.8% in 2021) and lung cancer (12.8% vs 3.5%). Stage I and II disease at diagnosis was most common for female breast cancer (range 2017–2021: 39.0–41.0% and 40.9–43.2%) and colorectal cancer (range 2017–2021: 23.8–25.2% and 29.0–29.8%). Most melanoma cases were diagnosed at stage II (range 2017–2021: 67.5–74.0%), most lung cancer cases at stage IV (range 2017–2021: 50.8–55.1%) and most prostate cancer cases at stage I (range 2017–2021: 46.2–47.5%).
Observed and relative one-year survival estimates were highest for melanoma followed by female breast cancer and prostate cancer across all incidence periods (table 8). Lowest one-year survival estimates were observed for lung cancer. The observed and relative one-year survival for all cancers was similar between 2017–2019 and 2020 and increased in 2021. The relative one-year survival for all cancers was 85.4% (95% CI: 85.0–85.7%) in 2021 compared to 84.6% (84.3–85.0%) in 2020 and 84.1% (83.9–84.3%) in 2017–2019. Stratifying by cancer type, differences in one-year survival across incidence periods were only observed for lung and prostate cancer. The relative one-year survival for lung cancer was 62.6% (61.1–64.3%) in 2021 compared to 62.3% (60.7–64.0%) in 2020 and 59.9% (59.0–60.9%) in 2017–2019. For prostate cancer, the relative one-year survival was 97.4% (97.1–97.8%) in 2021, 94.9% (94.5–95.4%) in 2020 and 96.4% (95.6–97.3%) in 2017–2019.
Table 8Observed and relative one-year survival for patients with cancer diagnosed in 2017–2019, 2020, 2021 in Switzerland for all cancers, female breast cancer, colorectal cancer, lung cancer, melanoma and prostate cancer. Cancer cases were defined according to the tenth revision of the international classification of diseases (ICD-10): All cancers: all primary invasive cancers (C00 to C97, excluding C44 non-melanoma skin cancer); female breast cancer: C50; colorectal cancer: C18–C20; lung cancer: C33–C34; melanoma: C43; prostate cancer: C61.
| Observed one-year survival* | Relative one-year survival** | |||||
| 2017–2019 | 2020 | 2021 | 2017–2019 | 2020 | 2021 | |
| % (95% CI) | % (95% CI) | % (95% CI) | % (95% CI) | % (95% CI) | % (95% CI) | |
| All cancers | 82.6% (82.4–82.8) | 83.0% (82.7–83.4) | 83.8% (83.5–84.2) | 84.1% (83.9–84.3) | 84.6% (84.3–85.0) | 85.4% (85.0–85.7) |
| Female breast cancer | 96.0% (95.8–96.3) | 95.7% (95.2–96.2) | 95.9% (95.5–96.4) | 97.6% (97.3–97.9) | 97.4% (96.8–97.9) | 97.5% (97.0–98.0) |
| Colorectal cancer | 86.0% (85.4–86.6) | 85.9% (84.9–86.9) | 86.7% (85.7–87.7) | 87.6% (87.0–88.2) | 87.6% (86.5–88.7) | 88.3% (87.3–89.4) |
| Lung cancer | 59.0% (58.1–59.9) | 61.3% (59.7–62.9) | 61.7% (60.1–63.3) | 59.9% (59.0–60.9) | 62.3% (60.7–64.0) | 62.6% (61.1–64.3) |
| Melanoma | 96.3% (95.9–96.7) | 96.9% (96.2–97.5) | 96.2% (95.6–96.9) | 98.3% (97.9–98.7) | 99.1% (98.5–99.7) | 98.3% (97.6–98.9) |
| Prostate cancer | 94.2% (93.4–95.1) | 92.6% (92.2–93.0) | 95.2% (94.9–95.6) | 96.4% (95.6–97.3) | 94.9% (94.5–95.4) | 97.4% (97.1–97.8) |
CI: confidence interval.
* Observed survival is the proportion of patients alive at a specified time after diagnosis with cancer.
** Relative survival is the ratio of observed survival among patients with cancer and expected survival among the general population. Relative survival accounts for the non-cancer background mortality.
This nationwide population-based study showed a marked decrease in cancer diagnoses during the COVID-19 lockdown in March–May 2020, but no overall annual decrease in 2020 and 2021 compared to pre-pandemic years. The decrease during the lockdown period was most pronounced for female breast cancer, prostate cancer and colorectal cancer and was most evident among cases aged 50–74 years at diagnosis. An increase in cancer diagnoses was observed in March–April 2021 across all cancer types. No clear shifts in stage distributions or one-year survival were observed.
Our study revealed similar incidence counts of all cancer cases in 2020 compared to 2017–2019. This is in contrast to findings from a recent meta-analysis that showed an overall decrease of 27% from January to October 2020 compared to the pre-pandemic period with, however, considerable heterogeneity across geographical regions [13]. In line with our findings, a Swiss study using data from the cantons of Zurich and Zug found only a slight decrease in all cancer cases in 2020, suggesting a less severe impact of the COVID-19 pandemic in Switzerland compared to other countries [19]. In 2021, we observed an overall increase of 7% of all cancer cases compared to the pre-pandemic period. Given the simultaneous implementation of the Cancer Registration Act in 2020 in Switzerland enforcing the reporting of cancer cases to cantonal cancer registries [20], we can only speculate to what extent this may have counteracted any decrease in cancer incidence in 2020 and led to an observed increase in 2021. Meanwhile, continuous population growth and ageing may have had similar effects on incidence counts, although trends for age-standardised incidence rates were similar.
Monthly incidence counts for all cancers revealed a substantial decrease during the COVID-19 lockdown period of up to −20% in April 2020 compared to the pre-pandemic period. This decrease coincided with governmental COVID-19 measures and is in line with previous regional or cancer-specific studies in Switzerland [18, 19] and other European countries [6, 16, 29]. This decrease may be related to restricted access to healthcare services, limited capacities of the healthcare system and the advice, especially to elderly people, to stay at home during this period [14]. We found the most pronounced decreases for female breast cancer (−40%) followed by prostate cancer (−29%), colorectal cancer (−29%) and melanoma (−27%). The particularly large reduction for female breast and colorectal cancer may be mainly explained by the COVID-19-related interruption of organised cancer screening programmes that most Swiss cantons have implemented [17]. Indeed, we observed the largest decrease among those aged 50–74 years, which corresponds to the age range covered by screening programmes. However, our findings suggest that also cancer types subject to opportunistic screening, such as PSA testing for prostate cancer or regular skin examinations for melanoma, were affected.
The sudden decrease in incidence counts in 2020 compared to the corresponding months in the pre-pandemic period disappeared from June 2020 onwards. The lack of differences in annual incidence counts and age-standardised incidence rates between 2020 and 2017–2019 further suggests that the observed decrease in spring was recouped by the end of 2020. However, in March and April 2021 we observed substantial increases in incidence counts compared to the pre-pandemic period, particularly for prostate cancer and melanoma. This coincided with the end of the second COVID-19 wave in Switzerland [30] and may in part explain the higher overall case numbers in 2021 compared to 2017–2019. However, it remains unclear whether this is a rebound effect after the decrease observed during the lockdown period. Suter et al. observed similar trends for prostate cancer in the cantons of Zurich and Zug and hypothesised that adaptations of screening recommendations, steady increases in age and life expectancy and the relatively high immigration rate in Switzerland may also play a role [19].
We observed no clear shifts in stage distribution between pandemic and pre-pandemic years in Switzerland. This is in contrast to a study from Northern Ireland that revealed shifts from early- to late-stage tumours for lung, prostate and kidney cancer [16]. Furthermore, a study from Belgium showed a stage upshifting for cervical, prostate, bladder, ovarian and fallopian tube tumours [12]. These studies hypothesised that in 2020 advanced tumours were more likely to be diagnosed because of the symptom severity, particularly for lung cancer, and examinations for early-stage tumours with milder symptoms and screening for asymptomatic tumours may have been postponed or interrupted [12, 16].
Our study further showed comparable one-year survival rates between 2020 and the pre-pandemic period 2017–2019 followed by a modest increase in 2021. This finding supports the robustness of the Swiss health care system and the limited effect of COVID-19 on short-term cancer outcomes in Switzerland. Similarly, a Belgian study showed no overall decline in one-year relative survival in 2020 [10]. However, a study from Northern Ireland revealed reductions in survival for tumours of the lung, head and neck, oesophagus, uterus, and for lymphomas [16]. Especially for lung cancer, the overlap of symptoms with COVID-19 may have potentially led to delayed diagnosis [16]. As the detection of cancer at a later stage often results in a poorer prognosis, the lack of an effect on one-year survival in Switzerland could be related to the absence of a stage shift at diagnosis. However, changes in treatment type, timing or guidelines may also affect survival. Longer follow-up is needed to investigate such effects. We further hypothesise that the modest increase in one-year survival in 2021 may rather reflect generally increasing cancer survival rates over time than an effect of the pandemic [31].
Our study has some limitations. The concomitant occurrence of the COVID-19 pandemic and the implementation of the Cancer Registration Act made it more difficult to interpret the effect of the pandemic. Another limitation is the descriptive nature of our study. Due to the multifactorial impact of COVID-19 including societal and governmental restrictions, disrupted access to healthcare services, altered health-seeking behaviour and potentially other confounding factors, our study cannot establish causal inferences on the impact of COVID-19 on cancer outcomes. Finally, we lacked data on survival beyond one year after diagnosis and information on co-morbidities that may have affected survival. Further research and long-term monitoring are necessary to address these knowledge gaps.
A major strength of our study is the use of high-quality population-based cancer registry data and the nationwide coverage by extrapolating the included cancer cases to the entire population of Switzerland. Another strength is the inclusion of three pre-pandemic years (2017–2019) and two pandemic years (2020, 2021) that allowed us to adequately account for random fluctuations before the pandemic and to investigate beyond the initial effects of the pandemic. Finally, our study covered a broad range of cancer outcomes and provided separate information for the five most common cancer types in Switzerland.
In this nationwide study, we found a marked decrease in cancer diagnoses during the COVID-19 lockdown in March–May 2020, but no overall annual decrease in cancer diagnoses during 2020 and 2021 compared to pre-pandemic years. Given the relatively stable stage distributions and one-year survival estimations across cancer types, the pandemic may have had no major effect on cancer detection and short-term patient outcomes in Switzerland. These findings are of importance for policymakers and the public health system regarding future pandemics.
The datasets used in this work are held by the National Agency for Cancer Registration (NACR) and the Swiss Federal Statistical Office (FSO). The NACR data are not publicly available but can be obtained upon reasonable request. Population data and life tables from the FSO are publicly available.
We would like to thank the Cancer Registries (CR) for the collection of the data used in this study. Namely: Bergeron Y (CR-FR); Bordoni A (CR-TI); Curjuric I, Adam M (CR-AG); Defossez G, Bulliard JL (CR-VD); Diebold J (CR-LU/UR/OW/NW); Erny S (CR-BS/BL); Konzelmann I (CR-VS); Kuehni C (Childhood CR); Maspoli M, Bulliard JL (CR-NE/JU); Mousavi M (CR-SG/TG/AI/AR); Perren A (CR-BE/SO); Rapiti E (CR-GE); Rohrmann S (CR-ZH/ZG/SH/SZ); von Moos R (CR-GR/GL). We also acknowledge the National Agency for Cancer Registration (NACR) for merging the cantonal data and providing the national data, which enabled the national analysis.
This work was supported by Swiss Cancer Research.
All authors have completed and submitted the International Committee of Medical Journal Editors form for disclosure of potential conflicts of interest. No potential conflict of interest related to the content of this manuscript was disclosed.
1. Moynihan R, Sanders S, Michaleff ZA, Scott AM, Clark J, To EJ, et al. Impact of COVID-19 pandemic on utilisation of healthcare services: a systematic review. BMJ Open. 2021 Mar;11(3):e045343. doi: https://doi.org/10.1136/bmjopen-2020-045343
2. Greene GJ, Thomson CS, Donnelly D, Chung D, Bhatti L, Gavin AT, et al. Whole-population trends in pathology-confirmed cancer incidence in Northern Ireland, Scotland and Wales during the SARS-CoV-2 pandemic: A retrospective observational study. Cancer Epidemiol. 2023 Jun;84:102367. doi: https://doi.org/10.1016/j.canep.2023.102367
3. Johansson AL, Larønningen S, Skovlund CW, Kristiansen MF, Mørch LS, Friis S, et al. The impact of the COVID-19 pandemic on cancer diagnosis based on pathology notifications: A comparison across the Nordic countries during 2020. Int J Cancer. 2022 Aug;151(3):381–95. doi: https://doi.org/10.1002/ijc.34029
4. Mitchell H, Mclean J, Gavin AT, Visser O, Millar E, Luff T, et al. Impact of COVID-19 control on lung, breast, and colorectal pathological cancer diagnoses. A comparison between the Netherlands, Aotearoa New Zealand, and Northern Ireland. BMC Cancer. 2023 Jul;23(1):700. doi: https://doi.org/10.1186/s12885-023-11216-3
5. Negoita S, Chen HS, Sanchez PV, Sherman RL, Henley SJ, Siegel RL, et al. Annual Report to the Nation on the Status of Cancer, part 2: early assessment of the COVID-19 pandemic’s impact on cancer diagnosis. Cancer. 2024 Jan;130(1):117–27. doi: https://doi.org/10.1002/cncr.35026
6. Peacock HM, Tambuyzer T, Verdoodt F, Calay F, Poirel HA, De Schutter H, et al. Decline and incomplete recovery in cancer diagnoses during the COVID-19 pandemic in Belgium: a year-long, population-level analysis. ESMO Open. 2021 Aug;6(4):100197. doi: https://doi.org/10.1016/j.esmoop.2021.100197
7. Trojanowski M, Radomyski P, Kycler W, Michalek IM. Decrease in the number of new cancer diagnoses during the first year of the COVID-19 pandemic - cohort study of 3.5 million individuals in western Poland. Front Oncol. 2023 Dec;13:1230289. doi: https://doi.org/10.3389/fonc.2023.1230289
8. Zagar T, Tomsic S, Zadnik V, Bric N, Birk M, Vurzer B, et al. Impact of the COVID-19 epidemic on cancer burden and cancer care in Slovenia: a follow-up study. Radiol Oncol. 2022 Dec;56(4):488–500. doi: https://doi.org/10.2478/raon-2022-0050
9. Greene G, Griffiths R, Han J, Akbari A, Jones M, Lyons J, et al. Impact of the SARS-CoV-2 pandemic on female breast, colorectal and non-small cell lung cancer incidence, stage and healthcare pathway to diagnosis during 2020 in Wales, UK, using a national cancer clinical record system. Br J Cancer. 2022 Aug;127(3):558–68. doi: https://doi.org/10.1038/s41416-022-01830-6
10. Peacock HM, De Gendt C, Silversmit G, Nuyts S, Casselman J, Machiels JP, et al. Stage shift and relative survival for head and neck cancer during the 2020 COVID-19 pandemic: a population-based study of temporal trends. Front Oncol. 2023 Sep;13:1253968. doi: https://doi.org/10.3389/fonc.2023.1253968
11. Reinwald F, Justenhoven C. Impact of the COVID-19 pandemic on number and stages of tumors - data of a German cancer registry. Acta Oncol. 2023 Mar;62(3):315–7. doi: https://doi.org/10.1080/0284186X.2023.2187259
12. Peacock HM, Van Meensel M, Van Gool B, Silversmit G, Dekoninck K, Brierley JD, et al. Cancer incidence, stage shift and survival during the 2020 COVID-19 pandemic: A population-based study in Belgium. Int J Cancer. 2024 Oct;155(7):1212–24. doi: https://doi.org/10.1002/ijc.35001
13. Angelini M, Teglia F, Astolfi L, Casolari G, Boffetta P. Decrease of cancer diagnosis during COVID-19 pandemic: a systematic review and meta-analysis. Eur J Epidemiol. 2023 Jan;38(1):31–8. doi: https://doi.org/10.1007/s10654-022-00946-6
14. Bundesamt für Statistik. Auswirkungen der Covid-19-Pandemie auf die Gesundheitsversorgung im Jahr 2020. Neuchâtel; 2021. Available from: https://www.bfs.admin.ch/news/de/2021-0247
15. Wirth B, Stucki M, Joerg R, Thommen C, Höglinger M. Impact of the Covid-19 pandemic on inpatient health care in Switzerland 2020-2021-A descriptive retrospective study using admission data of all Swiss hospitals. PLoS One. 2024 Jul;19(7):e0306791. doi: https://doi.org/10.1371/journal.pone.0306791
16. Bennett D, Murray I, Mitchell H, Gavin A, Donnelly D. Impact of COVID-19 on cancer incidence, presentation, diagnosis, treatment and survival in Northern Ireland. Int J Cancer. 2024 May;154(10):1731–44. doi: https://doi.org/10.1002/ijc.34847
17. Puricelli Perin DM, Elfström KM, Bulliard JL, Burón A, Campbell C, Flugelman AA, et al.; International Cancer Screening Network. Early assessment of the first wave of the COVID-19 pandemic on cancer screening services: The International Cancer Screening Network COVID-19 survey. Prev Med. 2021 Oct;151:106642. doi: https://doi.org/10.1016/j.ypmed.2021.106642
18. Kostner L, Cerminara SE, Pamplona GS, Maul JT, Dummer R, Ramelyte E, et al. Effects of COVID-19 Lockdown on Melanoma Diagnosis in Switzerland: Increased Tumor Thickness in Elderly Females and Shift towards Stage IV Melanoma during Lockdown. Cancers (Basel). 2022 May;14(10):2360.
19. Suter F, Wanner M, Menges D, Wicki A, Korol D, Rohrmann S. Impact of the COVID-19 Pandemic and Lockdown on Cancer Diagnoses Using Swiss Cantonal Cancer Registry Data. Cancers (Basel). 2024 Oct;16(19):3381. doi: https://doi.org/10.3390/cancers16193381
20. Federal Office of Public Health (FOPH). Gesetzgebung Krebsregistrierung. 2025. Available from: https://www.bag.admin.ch/de/gesetzgebung-krebsregistrierung-datenbearbeitung-und-datennutzung
21. World Health Organization. ICD-10 Version: 2019 – International Statistical Classification of Diseases and Related Health Problems 10th Revision. Available from: https://icd.who.int/browse10/2019/en
22. R Core Team. R: A Language and Environment for Statistical Computing. Vienna, Austria: R Foundation for Statistical Computing; 2024. Internet: https://www.R-project.org/
23. Abawi K, Feller A, Lorez M, Michalopoulou E, Roy E, Spycher B, et al. Statistical Methods for Cancer Reporting in Switzerland. Zürich, Bern, Neuchâtel. National Agency for Cancer Registration (NACR), Childhood Cancer Registry (ChCR), Federal Statistical Office (FSO). 2022. Available from: https://www.kinderkrebsregister.ch/wp-content/uploads/sites/2/2022/06/Methodenbericht_final_20220617.pdf
24. Fay MP, Feuer EJ. Confidence intervals for directly standardized rates: a method based on the gamma distribution. Stat Med. 1997 Apr;16(7):791–801. doi: https://doi.org/10.1002/(SICI)1097-0258(19970415)16:7<791::AID-SIM500>3.0.CO;2-#
25. Union for International Cancer Control (UICC). TNM Classification of Malignant Tumours, 8th Edition: Wiley-Blackwell; 2017. Internet: https://www.uicc.org/what-we-do/sharing-knowledge/tnm
26. Corazziari I, Quinn M, Capocaccia R. Standard cancer patient population for age standardising survival ratios. Eur J Cancer. 2004 Oct;40(15):2307–16. doi: https://doi.org/10.1016/j.ejca.2004.07.002
27. Ederer F, Hernan H. Instructions to IBM 650 programmers in processing survival computations. No. 10. Methodological note. End Results Evaluation Section. Bethesda (MD): National Cancer Institute; 1959.
28. Miettinen J, Rantanen M. popEpi: Functions for Epidemiological Analysis using Population Data. R package version 0.4.12. 2024. Internet: https://CRAN.R-project.org/package=popEpi
29. Voigtländer S, Hakimhashemi A, Grundmann N, Radespiel-Tröger M, Inwald EC, Ortmann O, et al. Impact of the COVID-19 pandemic on reported cancer diagnoses in Bavaria, Germany. J Cancer Res Clin Oncol. 2023 Aug;149(10):7493–503. doi: https://doi.org/10.1007/s00432-023-04707-0
30. Bundesamt für Statistik. Hospitalisierungen mit Covid-19-Diagnose 2020 und 2021. Neuchâtel; 2022. Available from: https://www.bfs.admin.ch/bfs/de/home/aktuell/neue-veroeffentlichungen.assetdetail.23771995.html
31. Allemani C, Matsuda T, Di Carlo V, Harewood R, Matz M, Nikšić M, et al.; CONCORD Working Group. Global surveillance of trends in cancer survival 2000-14 (CONCORD-3): analysis of individual records for 37 513 025 patients diagnosed with one of 18 cancers from 322 population-based registries in 71 countries. Lancet. 2018 Mar;391(10125):1023–75. doi: https://doi.org/10.1016/S0140-6736(17)33326-3
The appendix is available in the pdf version of the article at https://doi.org/10.57187/s.4354.