DOI: https://doi.org/https://doi.org/10.57187/s.3933
catheter-associated urinary tract infections
European Association of Urology
European Association of Urology Nurses
Urinary tract infections (UTIs) are one of the most common diseases, affecting more than 150 million people worldwide every year [1]. Urinary tract infections rank among the top four most prevalent nosocomial infections; 70–80% of urinary tract infections are catheter-associated urinary tract infections (CAUTIs) [2], which significantly increases morbidity and mortality [3]. This imposes a substantial burden on the healthcare system, leading to prolonged hospital stays and escalated costs [3].
Presence of a urinary catheter and duration of catheterisation are the main risk factors for catheter-associated complications [4]. Furthermore, studies indicate that between 21% and 65% of all catheter insertions are not necessary [5, 6] and that prolonged catheterisation without indication is common [7].
Interventions such as confirming the need for catheterisation, daily evaluation of this need and education on catheter management significantly decrease catheter utilisation and non-infectious complications in the hospital setting [2, 4]. These measures have also contributed to the reduction of CAUTIs [2, 8]. However, there are patients in whom permanent catheterisation is indicated but in whom such measures cannot be applied. This cohort of patients is usually frail and has additional risk factors for infectious complications such as immunosuppression, diabetes, advanced age or immobilisation [9]. Therefore, comprehensive guidelines and corresponding training for catheter and CAUTI management are urgently needed.
This patient cohort is primarily cared for by general practitioners and urologists. Their decision-making is usually guided by experience und guideline recommendations. Adherence to guideline recommendations and antimicrobial stewardship programmes significantly reduce the use of antimicrobials and the development of antimicrobial resistance [10]. Currently there are various guidelines for diagnosis, treatment and prophylaxis of uncomplicated urinary tract infection [11–13] but only a few target urinary tract infections in catheterised patients [11, 14–16]. Compared to urinary tract infections, the real-world management of CAUTI is complicated by atypical symptoms, misleading diagnostic measures, unclear guidance for treatment decisions and a lack of evidence on prophylaxis [17].
To establish a foundation for future antimicrobial stewardship programmes and recommendations, our study aimed to assess and compare real-world management of catheters and CAUTIs among Swiss general practitioners and urologists encompassing diagnosis, treatment and prophylaxis.
A web-based, anonymous survey was conducted among general practitioners and urologists across Switzerland. In January 2023, the survey, hosted on the REDCap platform, was disseminated via the networks of Sentinella, a surveillance system operated by the Swiss Federal Office of Public Health (Bundesamt für Gesundheit) for gathering epidemiological data in family medicine [18], and the Swiss Association of Urology (Schweizerische Gesellschaft für Urologie) through email. Participants were encouraged to further distribute the survey within their respective institutions of general practitioners and urologists, with a follow-up reminder sent two weeks later.
The questionnaire comprised 6 demographic questions, 3 about catheter management in general and 15 about CAUTIs. Responses were structured with predefined options for most questions, while some allowed for individual or multiple selections. The questionnaire was provided in German, French and Italian, with the English version available in the appendix.
Following the collection of baseline characteristics, participants were queried about their involvement in catheter management. If respondents indicated not being involved in catheter management, subsequent questions were omitted. Incomplete questionnaires of participants who were involved in catheter management were still included in the analysis. Participation was voluntary, and to maintain anonymity no personal identifiers or written informed consent were obtained from participants. Given the focus on general practitioners and urologists and the absence of patient data collection, ethical committee approval was deemed unnecessary for this study. A study protocol has not been published or registered before. The dataset can be obtained from the corresponding author upon request.
We conducted descriptive statistical analyses to summarise the collected data. Categorical variables were presented as counts and corresponding proportions, while appropriate descriptive statistics were chosen for continuous variables based on data distribution; given the non-normal distribution, we reported median and range.
To compare characteristics between disciplines, two-sided Wilcoxon rank-sum tests were applied for continuous variables, while two-sided Fisher’s exact tests were used for categorical variables to detect significant differences in proportions between urologists and general practitioners. Furthermore, Fisher’s exact tests were separately applied to each survey question to uncover discipline-specific variations in responses, with separate tests conducted for each answer category in questions with multiple options.
We considered a p-value less than 0.05 as statistically significant. All statistical analyses were performed using R statistical software (version 4.2.2, The R Foundation for Statistical Computing, Vienna, Austria).
In total, 175 questionnaires (93 general practitioners and 82 urologists) were completed and 80% of them had no missing data. Seventeen general practitioners indicated not being involved in catheter management and were excluded from further analysis. Urologists were younger than participating general practitioners (table 1). The majority of general practitioners and urologists reported that they replaced catheters every 1–3 months, with urologists treating a higher number of patients with catheter-related issues and more instances of CAUTIs (table 1). While urologists generally expressed confidence in catheter management, over a quarter of general practitioners did not feel competent in this area (table 1).
Table 1Characteristics.
| Characteristic | General practitioner (n = 93) | Urology (n = 82) | p-value | Missing data | |||
| Age, median and range | 55 | 18–77 | 48 | 28–70 | 0.001 | 0 | |
| Years of experience as a medical professional, median and range | 25 | 1–50 | 20 | 2–45 | 0.006 | 0 | |
| Sex, n and % | 0.411 | 0 | |||||
| Female | 31 | 33.3% | 22 | 26.8% | |||
| Male | 62 | 66.7% | 60 | 73.2% | |||
| Medical facility where you work, n and % | <0.001* | 0 | |||||
| General practitioner practice | 93 | 100% | |||||
| Urological practice | 37 | 45.1% | |||||
| District hospital | 9 | 11.0% | |||||
| Cantonal hospital | 21 | 25.6% | |||||
| University hospital | 8 | 9.8% | |||||
| Rehabilitation hospital | 4 | 4.9% | |||||
| Other | 3 | 3.7% | |||||
| Do you look after patients who are permanently supplied with a urinary catheter? n and % | <0.001* | 0 | |||||
| No | 17 | 18.3% | 0 | ||||
| Rarely | 40 | 43.0% | 1 | 1.2% | |||
| Yes | 10 | 10.8% | 0 | ||||
| Yes and I change transurethral | 5 | 5.4% | 0 | ||||
| Yes and I change suprapubic | 1 | 1.1% | 0 | ||||
| Yes and I change both | 20 | 21.5% | 81 | 98.8% | |||
| At what interval do you usually perform catheter changes in asymptomatic patients? n and % | <0.001* | 17 | |||||
| <2 weeks | 1 | 1.2% | |||||
| 2–4 weeks | 6 | 7.9% | 2 | 2.4% | |||
| 1–2 months | 33 | 43.4% | 41 | 50.0% | |||
| 2–3 months | 22 | 29.0% | 38 | 46.3% | |||
| >3 months | 4 | 5.3% | 0 | ||||
| Only if needed | 11 | 14.5% | 0 | <0.001* | |||
| During the past 12 months, how many patients with transurethral and/or suprapubic catheters did you see on average per week for catheter-related concerns? n and % | |||||||
| <1 | 61 | 80.2% | 10 | 12.2% | 17 | ||
| 1–5 | 14 | 18.4% | 34 | 41.5% | |||
| 5–10 | 1 | 1.3% | 28 | 34.2% | |||
| 11–25 | 0 | 9 | 11.0% | ||||
| >50 | 0 | 1 | 1.2% | ||||
| How often do you diagnose an urinary tract infection in a catheterised patient per year? n and % | 0.089* | 24 | |||||
| <1/year | 19 | 25.7% | 14 | 18.2% | |||
| 1/year | 22 | 29.7% | 22 | 28.6% | |||
| 2–3/year | 22 | 29.7% | 19 | 24.7% | |||
| 4–5/year | 4 | 5.4% | 2 | 2.6% | |||
| >5/year | 7 | 9.5% | 20 | 26.0% | |||
| Do you feel competent in managing catheters and recurrent urinary tract infections in catheterised patients? n and % | <0.001* | 25 | |||||
| No | 3 | 4.5% | 0 | ||||
| Rather no | 16 | 23.9% | 0 | ||||
| Rather yes | 34 | 50.8% | 24 | 32.9% | |||
| Yes | 14 | 20.9% | 49 | 67.1% | |||
* p-value based on available data.
Figure 1 shows responses regarding CAUTI diagnosis and compares respective disciplines. In terms of CAUTI symptoms, there were only a few differences between disciplines except for confusion, which was more frequently considered symptomatic by general practitioners, and testicular pain, which was seen as a typical symptom by urologists (figure 1A). The most frequent methods used to diagnose CAUTI were symptoms and urine culture. In both disciplines, dipstick test and urine status/sediment were often used to diagnose CAUTI (figure 1B).

Figure 1Diagnosis of CAUTI. (A) Which signs/symptoms do you usually base your diagnose of an urinary tract infection in a catheterised patient on? (B) How do you usually diagnose an urinary tract infection in a catheterised patient? Answers depicted by discipline (light blue, general practitioner; dark blue, urologists). P-value based on available data, considered significant if ≤0.05. CT: computed tomography.
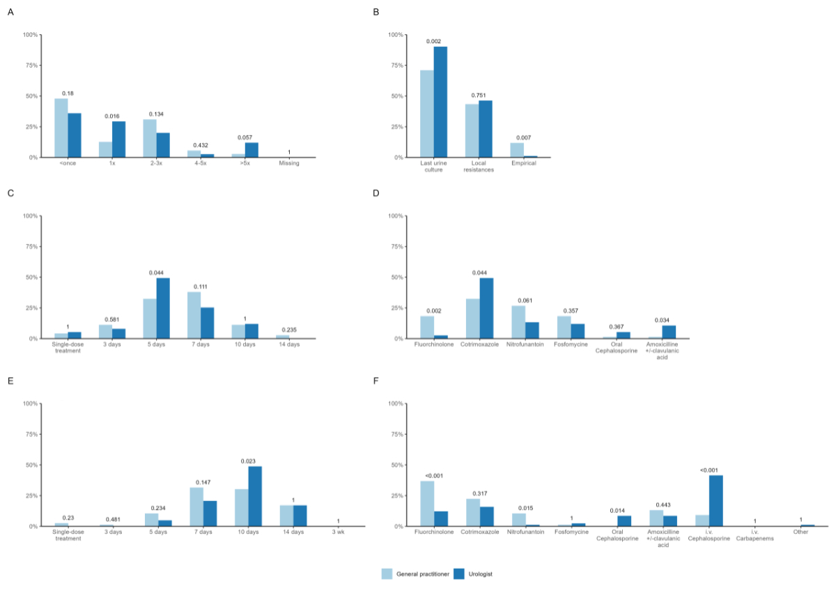
Regarding CAUTI treatment, the majority of urologists and general practitioners stated that they treated a catheterised patient less than once per year with antibiotics (figure 2A). Choice of antibiotic was primarily based on the last urine culture by both disciplines (figure 2B). In non-febrile CAUTI, urologists indicated that they favoured treating patients for 5 days, while general practitioners indicated 7 days (figure 2C). Co-trimoxazole was reported to be the mainly prescribed antibiotic by both disciplines. While fluoroquinolones were still frequently applied by general practitioners (17.1%), they were barely used by urologists (2.4%) (figure 2D). In febrile CAUTI, general practitioners declared that they treat for around 7–10 days and urologists preferred to treat for 10 days (figure 2E). In contrast to urologists, fluoroquinolones were reported to be the most frequently prescribed antibiotics for febrile CAUTI by general practitioners (36.8%). Urologists’ main choice was intravenous (i.v.) cephalosporins (figure 2F).

Figure 2Treatment of CAUTI. (A) How often do you prescribe an antibiotic for an urinary tract infection per catheterised patient per year? (B) How do you choose the antibiotic for empiric therapy? (C) How long do you usually treat catheterised patients with an antibiotic for a non-febrile urinary tract infection in average? (D) Which antibiotic do you usually choose for the empirical therapy of a non-febrile urinary tract infection? (E) How long do you usually treat catheterised patients with an antibiotic for a febrile urinary tract infection in average? (F) Which antibiotic do you usually choose for the empirical therapy of a febrile urinary tract infection? Answers depicted by discipline (light blue, general practitioner; dark blue, urologists). P-value based on available data, considered significant if ≤0.05. i.v.: intravenous.
After empirical treatment, most questionees would adjust the administered antibiotic according to urine culture (figure 3A, table S1). Increasing fluid intake emerged as the primary prophylactic measure (see figure 3B). With the exception of optimising catheter care and vaccination, urologists statistically applied all prophylactic measures more frequently (see figure 3B). If bladder irrigation was performed, general practitioners reported preferring saline solution and urologists tap water (figure 3C, table S2). General practitioners indicated that they refer patients to urologists for further management. Urologists performed an ultrasound instead (figure 3D, table S3).

Figure 3Prophylaxis of CAUTI. (A) What do you usually do after receiving the results of the urine culture when the detected germ proves to be resistant to the antibiotic administered? (B) Do you usually enact additional measures to reduce recurrent urinary tract infection in catheterised patients? (C) If you perform regular bladder irrigation, which fluid do you use for this? (D) Do you initiate further diagnostic measures for recurrent urinary tract infection in catheterised patients? Answers depicted by discipline (light blue, general practitioner; dark blue, urologist). P-value based on available data, considered significant if ≤0.05. CT: computed tomography; GP: general practitioner.
This study is the first real-world assessment of catheter and CAUTI management among Swiss general practitioners and urologists. It reveals that despite uncertainties among general practitioners regarding CAUTI management, the diagnostic approach for CAUTI is similar between general practitioners and urologists. However, it also underlines differences in CAUTI treatment and prophylaxis between the disciplines.
The inhomogeneity may stem from varying levels of professional experience, training and decision-making between general practitioners and urologists. Guideline recommendations are a key basis for decision-making. A handbook on urological diseases, including CAUTI, was recently published for Swiss general practitioners but has not gained widespread recognition, partly because it was not endorsed by medical societies [19]. Furthermore, general practitioners, like urologists, could refer to international guidelines such as those from the European Association of Urology (EAU), which summarise CAUTI management [11]. Additionally, the European Association of Urology Nurses (EAUN) recently issued recommendations on catheterisation, defining CAUTI as a syndrome involving an indwelling catheter for over two days, a positive urine culture for at least one pathogen and symptoms like fever, flank pain or dysuria [16].
Other national European guidelines either lack recommendations regarding catheter management and CAUTI [13] or contradict those of the EAU and EAUN, as seen in discrepancies regarding aspects such as the timing of urine sampling and catheter changes, the duration of treatment and the choice of antimicrobial agents [16, 20]. For example, the EAU and EAUN recommend taking the urine sample after changing the catheter, treatment as recommended for complicated urinary tract infections and choosing a corresponding antibiotic adjusted to local resistance patterns following the evidence-based medicine (EBM) recommendations. [11, 12, 16, 21]. Whereas, for example, the French urological guidelines recommend taking the sample from the indwelling catheter and changing it 24 hours later [20]. While the EAU guidelines do not specify a routine catheter replacement interval, the EAUN suggests that silicone catheters can remain in place for up to 12 weeks according to manufacturer recommendations. However, they emphasise that the decision should be individualised based on factors like encrustation or CAUTIs [11, 16]. Ultimately, in day-to-day practice, especially for general practitioners, actively seeking out various guidelines proves challenging. They see, diagnose and manage a wide array of diseases and the workload would simply be overwhelming.
Antimicrobial stewardship interventions, particularly guideline adherence, reduce hospital stays, morbidity, antimicrobial use and resistance rates [22, 23]. The absence of or discrepancies in these recommendations can create uncertainty, as observed among general practitioners in this study, potentially leading to unnecessary treatment, increased morbidity and the development of antimicrobial resistance in CAUTI management.
Good clinical practice relies not only on guideline adherence but also on clinical routine. In this study, nearly half of the general practitioners reported limited involvement in catheter management, with urologists handling more catheter-related cases and CAUTIs, which may contribute to the higher level of uncertainty among general practitioners. Despite their relatively limited experience, general practitioners and urologists showed similarities in practices, aligning with EAU and EAUN guidelines, such as changing catheters every 3 months and basing diagnoses on symptoms and urine culture [11, 16]. Surprisingly, both disciplines frequently chose smelly urine and cloudy urine as diagnostic symptoms, even though it is explicitly mentioned in guidelines that odorous or cloudy urine is neither a sign for CAUTI nor urinary tract infection [11, 20, 23]. Interestingly, even rather atypical symptoms such as reduction of general condition and confusion were frequently considered by both disciplines as being suggestive of CAUTI or urinary tract infection. Both general practitioners and urologists appear to recognise the importance of atypical CAUTI symptom assessment in this frail patient cohort, understanding – [24, 25], as recommended by EAUN guidelines [16] – that it extends beyond merely assessing voiding symptoms.
Similarities between general practitioners and urologists were also seen in the frequent use of dipstick and urine sediment, even though they are highly unspecific in catheterised patients due to common asymptomatic bacteriuria (ABU), pyuria and microhaematuria [11, 23]. Catheterisation leads to bacterial colonisation of the catheter and bladder within a few days, resulting in ABU. However, the mere presence of ABU without symptoms indicative of an infection should not be misinterpreted as a CAUTI. Basing decision-making for CAUTI treatment on these diagnostic measures can lead to antibiotic treatment when not necessary, does not provide benefits [23, 26] and can even harm due to side effects and the development of antimicrobial resistance [27].
This study identified significant differences in antimicrobial choices for CAUTI treatment. Both disciplines use co-trimoxazole as the primary antibiotic for non-febrile CAUTIs, despite it not being a first-line recommendation for complicated UTIs by the EAU. Urologists primarily treat febrile CAUTIs with i.v. cephalosporins, aligning with EAU recommendations and the logistical ease within a hospital setting [11]. General practitioners frequently use fluoroquinolones for both non-febrile and febrile CAUTIs. While the EAU still recommends fluoroquinolones for complicated UTIs in non-hospitalised patients, the European Commission’s restriction on fluoroquinolone use calls for highly restrictive application, especially in frail, permanently catheterised patients due to rising antimicrobial resistance and severe adverse events [28–30].
General practitioners and urologists reported different durations of treatment, varying between 5–7 days for non-febrile and 7–10 days for febrile CAUTIs. Guidelines recommend treatment for 7–14 days and indicate that duration should be closely related to the underlying abnormality. If a patient is haemodynamically stable and the prostate is not involved, a shorter course of treatment can be considered [11].
In cases where empirical treatment proves to be resistant, more than one-third of general practitioners and nearly a quarter of urologists only adjust treatment in the absence of clinical improvement. It is one of the principles of antimicrobial stewardship to adjust to a less broader antibiotic [12] and in case of resistant bacteria to minimise early reinfection and selection of antimicrobial resistance [31–33].
An increase in drinking quantity was the primary prophylactic measure chosen. However, urologists implemented more prophylactic measures than general practitioners, potentially because they are more familiar with managing prophylaxis in recurrent urinary tract infections. To date there are no recommended prophylactic measures specific to CAUTI, which is reflected in the inhomogeneity of our results. However, recently published EAUN guidelines recommend an increase in drinking quantity to decrease catheter encrustation whereas bladder irrigation is not recommended for preventing CAUTI [16]. Bladder irrigation is commonly performed as standard management of long-term urinary catheters, but it remains a controversial method. A Cochrane review based on studies of poor methodological quality found inconclusive evidence for the role of bladder irrigation in preventing CAUTIs [34]. Even though not recommended by guideline recommendations, bladder irrigation (with tap water) is frequently used in Switzerland. A recent study showed that bladder irrigation with tap water reduced CAUTI occurrence and antibiotic use [35].
In case of recurrent CAUTI, general practitioners usually referred patients to urologists and urologists performed an ultrasound. According to "EbM Guidelines" [12], an ultrasound is the main diagnostic measure for recurrent CAUTI in order to check for causative pathologies such as bladder stones. In 2005, a study showed that approximately one third of general practitioners had an ultrasound available [36]. This together with the uncertainty in CAUTI management could explain why general practitioners refer patients to the specialist.
One limitation of our study was that it was not based on direct observations, which did not allow accounting for recall and reporting biases. Further, our survey results may not adequately represent CAUTI practices among general practitioners and urologists, as the overall response rate cannot be reproduced and was potentially low. However, it is conceivable that compliance with CAUTI guidelines in non-respondents is not considerably higher than in those respondents who are less interested in this topic. Lastly, the CAUTI literature is highly heterogeneous, and even if the recommendations are classified as strong, many critical clinical questions are not addressed, which complicates the interpretation of the study results regarding these recommendations.
In the real-world management of catheters and CAUTIs, similarities and differences between general practitioners and urologists are evident. Some of these align with common recommendations and antimicrobial stewardship principles, while others deviate from them. Catheter and CAUTI management entail significant uncertainty for general practitioners. Even urologists, the presumed specialists, do not always act in accordance with recommendations and antimicrobial stewardship principles.
CAUTI management varied notably between general practitioners and urologists in terms of treatment and prophylaxis. Use of drugs not recommended by guidelines was common. This trend, along with inappropriate diagnostic methods and prophylaxis, may increase antimicrobial resistance and CAUTI morbidity. general practitioners and urologists might benefit from closer collaboration and exchange of knowledge. Joint training sessions could be organised in which specific clinical questions from routine practice are discussed between the two specialties. Collaborative conferences could be held, general practitioners could gain access to guidelines from other specialties and shared professional literature could be published. The study emphasises the necessity for diagnostic and antimicrobial stewardship interventions, and proper training in CAUTI management for general practitioners and urologists.
No funding was obtained for this research project.
All authors have completed and submitted the International Committee of Medical Journal Editors form for disclosure of potential conflicts of interest. No potential conflict of interest related to the content of this manuscript was disclosed.
1. Öztürk R, Murt A. Epidemiology of urological infections: a global burden. World J Urol. 2020 Nov;38(11):2669–79. doi: https://doi.org/10.1007/s00345-019-03071-4
2. Schweiger A, Maag J, Marschall J. CAUTI Surveillance Teilnehmerhandbuch. Available from: https://www.swissnoso.ch/fileadmin/module/cauti_surveillance/Dokumente_D/240101_Swissnoso_CAUTI_Surveillance_Handbuch_V2.1.pdf
3. Klevens RM, Edwards JR, Richards CL Jr, Horan TC, Gaynes RP, Pollock DA, et al. Estimating health care-associated infections and deaths in U.S. hospitals, 2002. Public Health Rep. 2007;122(2):160–6. doi: https://doi.org/10.1177/003335490712200205
4. Schweiger A, Kuster SP, Maag J, Züllig S, Bertschy S, Bortolin E, et al. Impact of an evidence-based intervention on urinary catheter utilization, associated process indicators, and infectious and non-infectious outcomes. J Hosp Infect. 2020 Oct;106(2):364–71. doi: https://doi.org/10.1016/j.jhin.2020.07.002
5. Munasinghe RL, Yazdani H, Siddique M, Hafeez W. Appropriateness of use of indwelling urinary catheters in patients admitted to the medical service. Infect Control Hosp Epidemiol. 2001 Oct;22(10):647–9. doi: https://doi.org/10.1086/501837
6. Jain P, Parada JP, David A, Smith LG. Overuse of the indwelling urinary tract catheter in hospitalized medical patients. Arch Intern Med. 1995 Jul;155(13):1425–9. doi: https://doi.org/10.1001/archinte.1995.00430130115012
7. Tiwari MM, Charlton ME, Anderson JR, Hermsen ED, Rupp ME. Inappropriate use of urinary catheters: a prospective observational study. Am J Infect Control. 2012 Feb;40(1):51–4. doi: https://doi.org/10.1016/j.ajic.2011.03.032
8. Saint S, Greene MT, Krein SL, Rogers MA, Ratz D, Fowler KE, et al. A Program to Prevent Catheter-Associated Urinary Tract Infection in Acute Care. N Engl J Med. 2016 Jun;374(22):2111–9. doi: https://doi.org/10.1056/NEJMoa1504906
9. Jahromi MS, Mure A, Gomez CS. UTIs in patients with neurogenic bladder. Curr Urol Rep. 2014 Sep;15(9):433. doi: https://doi.org/10.1007/s11934-014-0433-2
10. Cai T, Verze P, Brugnolli A, Tiscione D, Luciani LG, Eccher C, et al. Adherence to European Association of Urology Guidelines on Prophylactic Antibiotics: An Important Step in Antimicrobial Stewardship. Eur Urol. 2016 Feb;69(2):276–83. doi: https://doi.org/10.1016/j.eururo.2015.05.010
11. Bonkat G, Bartoletti R, Bruyère F, Cai T, Geerlings SE, Kranz J, et al. EAU Guidelines on Urological Infections 2023. Uroweb - European Association of Urology. Available from: https://uroweb.org/guidelines/urological-infections/chapter/the-guideline
12. Wuorela M. (HWI). In: Rabady S, Sönnichsen A, Kunnamo I (eds.) EbM-Guidelines. Evidenzbasierte Medizin für Klinik und Praxis. 2023. Available from: https://www.ebm-guidelines.com/dtk/ebmde/avaa?p_artikkeli=ebd00206&p_haku=harnwegsinfekt
13. Leitlinienregister AW. Available from: https://register.awmf.org/de/leitlinien/detail/043-044
14. CAUTI Guidelines | Guidelines Library | Infection Control | CDC. 2019. Available from: https://www.cdc.gov/infectioncontrol/guidelines/cauti/index.html
15. Bruyere F, Goux L, Bey E, Cariou G, Cattoir V, Saint F, et al. Infections urinaires de l’adulte : comparaison des recommandations françaises et européennes. Par le Comité d’infectiologie de l’Association française d’urologie (CIAFU). Prog Urol. 2020;30(8-9):472–81. doi: https://doi.org/10.1016/j.purol.2020.02.012
16. Geng V. Indwelling catheterisation in adults – Urethral and suprapubic. European Association of Urology Nurses - EAUN. Available from: https://nurses.uroweb.org/guideline/indwelling-catheterisation-in-adults-urethral-and-suprapubic/
17. Hidron AI, Edwards JR, Patel J, Horan TC, Sievert DM, Pollock DA, et al.; National Healthcare Safety Network Team; Participating National Healthcare Safety Network Facilities. NHSN annual update: antimicrobial-resistant pathogens associated with healthcare-associated infections: annual summary of data reported to the National Healthcare Safety Network at the Centers for Disease Control and Prevention, 2006-2007. Infect Control Hosp Epidemiol. 2008 Nov;29(11):996–1011. doi: https://doi.org/10.1086/591861
18. BAG B für G. Sentinella Meldesystem. Available from: https://www.sentinella.ch/de/info
19. Pro Medicus Gmb H. In a Nutshell - Urologie in der Hausarztpraxis. Available from: https://www.inanutshell.ch/module/urologie-in-der-hausarzt-praxis/
20. Urofrance | Révision des recommandations de bonne pratique pour la prise en charge et la prévention des Infections Urinaires Associées aux Soins (IUAS) de l’adulte. - Urofrance. Available from: https://www.urofrance.org/recommandation/revision-des-recommandations-de-bonne-pratique-pour-la-prise-en-charge-et-la-prevention-des-infections-urinaires-associees-aux-soins-iuas-de-ladulte/
21. Kouri T. Harndiagnostik und Bakterienkultur. In: Rabady S, Sönnichsen A, Kunnamo I (eds.) EbM-Guidelines. Evidenzbasierte Medizin für Klinik und Praxis. 2023. Available from: https://www.ebm-guidelines.com/dtk/ebmde/avaa?p_artikkeli=ebd00205&p_haku=uti
22. Goebel MC, Trautner BW, Grigoryan L. The Five Ds of Outpatient Antibiotic Stewardship for Urinary Tract Infections. Clin Microbiol Rev. 2021 Dec;34(4):e0000320. doi: https://doi.org/10.1128/CMR.00003-20
23. Hooton TM, Bradley SF, Cardenas DD, Colgan R, Geerlings SE, Rice JC, et al.; Infectious Diseases Society of America. Diagnosis, prevention, and treatment of catheter-associated urinary tract infection in adults: 2009 International Clinical Practice Guidelines from the Infectious Diseases Society of America. Clin Infect Dis. 2010 Mar;50(5):625–63. doi: https://doi.org/10.1086/650482
24. Wojszel ZB, Toczyńska-Silkiewicz M. Urinary tract infections in a geriatric sub-acute ward-health correlates and atypical presentations. Eur Geriatr Med. 2018;9(5):659–67. doi: https://doi.org/10.1007/s41999-018-0099-2
25. Dutta C, Pasha K, Paul S, Abbas MS, Nassar ST, Tasha T, et al. Urinary Tract Infection Induced Delirium in Elderly Patients: A Systematic Review. Cureus. 2022 Dec;14(12):e32321. doi: https://doi.org/10.7759/cureus.32321
26. Köves B, Cai T, Veeratterapillay R, Pickard R, Seisen T, Lam TB, et al. Benefits and Harms of Treatment of Asymptomatic Bacteriuria: A Systematic Review and Meta-analysis by the European Association of Urology Urological Infection Guidelines Panel. Eur Urol. 2017 Dec;72(6):865–8. doi: https://doi.org/10.1016/j.eururo.2017.07.014
27. Krzyzaniak N, Forbes C, Clark J, Scott AM, Mar CD, Bakhit M. Antibiotics versus no treatment for asymptomatic bacteriuria in residents of aged care facilities: a systematic review and meta-analysis. Br J Gen Pract. 2022 May;72(722):e649–58. doi: https://doi.org/10.3399/BJGP.2022.0059
28. Bausch K, Bonkat G. Fluoroquinolone antibiotics - what we shouldn’t forget two years after the restriction by the European Commission. Swiss Med Wkly. 2022 Jan;152(0304):w30126–30126. doi: https://doi.org/10.4414/SMW.2022.w30126
29. Classifying antibiotics in the WHO Essential Medicines List for optimal use—be AWaRe - The Lancet Infectious Diseases. Available from: https://www.thelancet.com/journals/laninf/article/PIIS1473-3099(17)30724-7/abstract
30. Humanmedizin R. ANRESIS. Available from: https://www.anresis.ch/de/antibiotikaresistenz/resistance-data-human-medicine/
31. Holmes AH, Moore LS, Sundsfjord A, Steinbakk M, Regmi S, Karkey A, et al. Understanding the mechanisms and drivers of antimicrobial resistance. Lancet. 2016 Jan;387(10014):176–87. doi: https://doi.org/10.1016/S0140-6736(15)00473-0
32.Core Elements of Antibiotic Stewardship for Health Departments | Antibiotic Use | CDC. 2023. Available from: https://www.cdc.gov/antibiotic-use/core-elements/health-departments.html
33. Barlam TF, Cosgrove SE, Abbo LM, MacDougall C, Schuetz AN, Septimus EJ, et al. Implementing an Antibiotic Stewardship Program: Guidelines by the Infectious Diseases Society of America and the Society for Healthcare Epidemiology of America. Clin Infect Dis. 2016 May;62(10):e51–77. doi: https://doi.org/10.1093/cid/ciw118
34. Shepherd AJ, Mackay WG, Hagen S. Washout policies in long-term indwelling urinary catheterisation in adults. Cochrane Database Syst Rev. 2017 Mar;3(3):CD004012. doi: https://doi.org/10.1002/14651858.CD004012.pub5
35. van Veen FE, Den Hoedt S, Coolen RL, Boekhorst J, Scheepe JR, Blok BF. Bladder irrigation with tap water to reduce antibiotic treatment for catheter-associated urinary tract infections: an evaluation of clinical practice. Front Urol. 2023 Apr;3:1172271. Available from: https://www.frontiersin.org/journals/urology/articles/10.3389/fruro.2023.1172271/full
36. Tschudi P, Rosemann T. Die Zukunft der Hausarztmedizin! Wie finden wir den Nachwuchs? Womit können wir junge Ärztinnen und Ärzte für das Weiterbildungsziel «Hausärztin» motivieren? 2010 Mar; Available from: https://www.zora.uzh.ch/id/eprint/33323
Table S1What do you usually do after receiving the results of the urine culture when the detected germ proves to be resistant to the antibiotic administered?
| n total | General practitioner | % | Urologist | % | p-value | |
| Adjustment | 104 | 46 | 64.8% | 58 | 77.3% | 0.136 |
| Adjustment in the absence of clinical improvement | 42 | 25 | 35.2% | 17 | 22.7% | |
| No adjustment | 0 | 0 | 0 | 0 | 0 |
Table S2If you perform regular bladder irrigation, which fluid do you use for this?
| n total | General practitioner | % | Urologist | % | p-value | |
| Saline solution | 25 | 11 | 84.6% | 14 | 32.6% | 0.018 |
| Tap water | 18 | 1 | 7.7% | 17 | 39.5% | |
| Hyaluronic acid / chondroitin sulphate | 3 | 0 | 0 | 3 | 7% | |
| Disinfectant | 6 | 0 | 0 | 6 | 14% | |
| Other | 4 | 1 | 7.7% | 3 | 7% |
Table S3Do you initiate further diagnostic measures for recurrent urinary tract infections in catheterised patients?
| n total | General practitioner | % | Urologist | % | p-value | |
| No, treatment only | 32 | 24 | 35.8% | 8 | 11% | <0.001 |
| Ultrasound | 51 | 8 | 11.9% | 43 | 58.9% | |
| Referral for an ultrasound | 5 | 5 | 7.5% | 0 | 0 | |
| Computed tomography | 4 | 0 | 0 | 4 | 5.5% | |
| Referral to urologist (if a general practitioner) | 32 | 30 | 44.8% | 2 | 2.7% | |
| Other | 16 | 0 | 0 | 16 | 21.9% |
Questions and answer options in brackets