DOI: https://doi.org/https://doi.org/10.57187/s.3885
Blastic plasmacytoid dendritic cell neoplasm (BPDCN) is a very rare disease with an annual incidence of about 1 case / 2.5 million [1]. Patients usually present in their seventh decade; however all age groups are represented. A slight male predominance is well known with no ethnic predilection [2].
Uncertainties about the histogenesis of BPDCN have led to several changes in nomenclature in the past 25 years. At first, a T-cell origin was proposed based on the CD4 positivity of the cell. Hence BPDCN was named “plasmacytoid T-cell lymphoma”. When the expression of CD56 and a lack of other T-cell markers on the cells were later documented, natural killer cells were regarded as the cells of origin. Accordingly, the WHO classification of 1999 classified the CD4+/CD56+ neoplasm as blastic natural killer cell lymphoma [3]. A few years later, Chaperot et al. [4] were able to demonstrate that these neoplastic cells expressing CD4/CD56 in the absence of typical markers of B-cell and T-cell lineage were derived from precursors of plasmacytoid dendritic cells. Based on these findings the term BPDCN was established and it has been used since 2008. The WHO classification of 2008 categorised BPDCN as an entity of “acute myeloid leukaemia and related precursor neoplasms”. In the revised classification of 2016, BPDCN was finally classified as a separate entity [5]. The 5th and most recent edition of the WHO classification (2022) brought new changes, specifically revised diagnostic criteria. Currently, the diagnosis of BPDCN is established when one of the following two sets of criteria is met:
The clinical presentation is heterogeneous, but skin involvement at presentation is common, varying from nodular lesions to patch-plaques or even bruise-like patterns. In advanced stages of the disease, lymph node involvement, bone marrow infiltration and leukaemic transformations with marked cytopenia occur regularly [2].
The diagnosis is difficult and often missed or at least delayed. The cornerstone of the diagnosis is immunohistochemical work-up of skin biopsy or other affected tissues. BPDCN may be considered in cases of a morphologically diffuse, monomorphous infiltration of dermis with extension to subcutaneous fat (but not the epidermis however) of medium-sized blast cells with irregular nuclei and fine chromatin, some nucleoli, scant and agranular cytoplasm, variable mitosis, and the absence of angioinvasion and coagulative necrosis [5]. The diagnosis is confirmed by the expression of the typical markers, as mentioned above.
Nevertheless, differentiating neoplastic from reactive plasmacytoid dendritic cells is often very challenging, even for experienced haematologists. Several molecular and cytogenetic abnormalities have been reported, but none of them are unique to BPDCN. The diagnostic work-up/staging is completed by bone marrow examination and a PET/CT (currently not mandatory) or CT scan (with particular emphasis on lymph nodes and extramedullary disease [7]. Given the high incidence of occult cerebrospinal fluid involvement, a spinal fluid examination (including cytology and flow cytometry) is recommended in all patients [8].
Treatment of BPDCN is difficult and demanding, even though several treatment recommendations and position papers are now available [7–9].
In the past, most patients were treated with different chemotherapeutic regimens (acute lymphoblastic leukaemia-like, acute myeloid leukaemia-like, lymphoma-like). Despite high initial response rates, most patients relapse early and have dismal outcomes as reflected by the low median survival of only slightly above 12 months. This clinical course is usually independent of the initial pattern of the disease. Expression of CD303 and elevated Ki-67 might be associated with a longer survival [9]. Patients with a leukaemic stage have a worse prognosis with a median survival of 8.7 months [11]. Unequivocal curative concepts do not exist, even if long-term remissions in adults have been reported in selected cases with autologous or allogeneic stem cell transplantation [12]. Given that many patients are elderly, have additional comorbidities and present with advanced disease, therapeutic options are limited, especially regarding intensive approaches such as transplantation.
A promising new agent became available in 2019: tagraxofusp (Elzonris®, Stemline Therapeutics B.V.), a recombinant fusion protein consisting of human interleukin-3 fused to truncated diphtheria toxin that targets cells expressing CD123, leading to apoptosis [13]. Administration is by the intravenous route on days 1–5 of any 21-day cycle. Tagraxofusp is approved by the FDA, the EMA and Swissmedic and reimbursed by healthcare providers in Switzerland.
The goals of our study were to gain an overview of the prevalence, treatment and outcomes of Swiss patients with BPDCN in the last 18 years; to collect the available literature for the diagnosis and treatment of BPDCN; and to draw – in a cautious manner – conclusions about optimal management of this disease.
We conducted extensive research of the available literature, mainly using the databases PubMed and Google Scholar as well as the relevant references in UpToDate. Our search terms were “BPDCN” and “blastic plasmacytoid dendritic cell neoplasm”. Papers in English, German, French and Italian were considered. For every paper, we also checked the references to obtain further information about cohort studies or case reports involving patients with BPDCN. We obtained data published between 1 January 1997 and 31 December 2020. The key features of papers were entered in Excel spreadsheets, especially the following parameters: first author, type and geographic region of study, number of patients, age and sex distributions, clinical presentation at diagnosis, therapeutic regimen used, use of novel or experimental drugs, response rates, evolution and survival. Therapeutic regimens were divided into eight categories as follows: allogeneic transplantation (ALLO), autologous transplantation (AUTO), ALL-like without transplantation (ALL), AML-like without transplantation (AML), AL-like without further information without transplantation (AL NOS), lymphoma-like (LL), others (O), unknown (U). Table 1 lists the therapeutic regimens included in each category, under consideration of sometimes blurred borders.
Table 1Categories of therapeutic regimens.
| Allogeneic stem cell transplantation (ALLO) | Induction therapies containing cytarabine/anthracycline ± intrathecal cytarabine, CHOP, MTX, etoposide, cytarabine |
| Autologous stem cell transplantation (AUTO) | Induction therapy with CHOP |
| Acute lymphatic leukaemia (ALL) | Ifosfamid, etoposide, prednisone ± cytarabine ± MTX ± L-asparaginase ± mitoxantrone |
| Hyper-CVAD | |
| VPDL (vincristine, methylprednisolone, daunorubicin, L-asparaginase) ± MTX | |
| LALA 94 protocol | |
| GRAALL 2003 protocol | |
| Acute myeloid leukaemia (AML) | Cytarabine/anthracycline ± intrathecal MTX ± etoposide ± mitoxantrone ± fludarabine ± lomustine ± vincristine |
| LAM-90 protocol | |
| Acute leukaemia not otherwise specified (AL NOS) | No specified protocols |
| Lymphoma-like (LL) | CHOP-like (COP ± anthracycline ± rituximab ± etoposide ± bleomycin ± chlorambucil ± MTX ± mitoxantrone ± intrathecal MTX) |
| Hyper-CVAD | |
| ABVD | |
| IE, ICE or IME (MTX instead of carboplatin) | |
| ESHAP | |
| Other therapeutic options (O) in alphabetical order | Azacytidine |
| Bendamustine | |
| Best supportive care / no treatment | |
| Cytarabine ± mitoxantrone ± etoposide | |
| Daratumumab | |
| EC (epirubicin, cyclophosphamide) | |
| Hydroxyurea | |
| Interferon alpha ± bexarotene | |
| POMP-like | |
| Radiotherapy ± etoposide | |
| Steroid monotherapy | |
| Tagraxofusp | |
| Unspecified chemotherapy | |
| VAD (vincristine, anthracycline, dexamethasone) plus radiotherapy | |
| Venetoclax | |
| VRd (bortezomib, lenalidomide, dexamethasone) |
As we did not request the original raw data, our findings are based solely on the published information. The gathered information was analysed using descriptive as well as non-parametric statistics, the latter especially to compare outcomes of different therapeutic approaches. We quickly realised that investigating our pre-defined parameters was more difficult than expected, due to missing data and the inclusion of several patients in more than one report. In contrast to the descriptive analysis, exploratory statistics were only done in patient cases with availability of complete information as needed, maybe allowing a certain bias. The number of included patients is declared in a transparent manner on every separate analysis.
Statistical analyses were performed with Excel (Microsoft, Redmond, WA, USA), R 4.2.1 (www.r-project.org) and Vassarstats (Poughkeepsie, NY, USA). Categorical variables were compared between groups using Fisher’s exact test. Continuous variables were compared between groups using Student’s t-test for the international cohort and the Wilcoxon rank-sum test for the Swiss cohort. In the Swiss cohort, overall survival was calculated from diagnosis to death. Patients with no recorded death were censored at the date they were last known to be alive. In the structured review of the literature, we took the survival data from the original publications as far as possible. Overall survival was illustrated using the Kaplan-Meier methods and compared between groups using log-rank tests. The influence of covariables on overall survival was analysed using uni- and multivariate Cox regression models. For multivariate models, clinically relevant covariables were included as well as the therapy with the lowest hazard ratio, as due to collinearity only one therapy could be included.
In order to obtain an adequate overview of the Swiss BPDCN landscape, we contacted the leading local haemato-oncology centres asking for their data from BPDCN patients since 2005. The following centres (in alphabetical order) provided information: Cantonal Hospital Aarau, University Hospital Basel, Instituto Oncologico della Svizzera Italiana Bellinzona, University Hospital Inselspital Bern, Cantonal Hospital Chur, Cantonal Hospital Fribourg, University Hospital Geneva (HUG), University Hospital Lausanne (CHUV), Cantonal Hospital Baselland Liestal, Cantonal Hospital Lucerne, Cantonal Hospital St Gallen, Hirslanden Zurich, Municipal Hospital Zurich, University Hospital Zurich. For each patient, we collected data on the initial clinical presentation, histopathological features, the therapeutic regimen selected at first and in case of relapse, remission status and overall survival as well as epidemiological data (sex, age at diagnosis). Of note, the same eight therapeutic categories were maintained as in the international structured review of the literature. Transplant (ALLO or AUTO) as first-line treatment means: The decision to do an allogenic (autologous) stem cell transplantation was taken before starting treatment with induction therapy (and not at the time point when 1st line therapy failed, then ALLO or AUTO were counted as 2nd line treatment). All data were provided in an anonymised form and the study was approved by the local ethics committee of Nordwest- und Zentralschweiz EKNZ (Nr. 2016/271). A study protocol was not prepared. All study data are available to those with a legitimate interest (Open Science).
We obtained data from 26 patients diagnosed with blastic plasmacytoid dendritic cell neoplasm (BPDCN) in the Swiss centres since 2005. Another two patients (both female) had to be excluded from analysis due to missing/denied general consent (table 2).
Table 2Overview of the Swiss cohort with 26 patients.
| Patient # | Sex / age (years) | Clinical picture at diagnosis | Therapeutic regimen after diagnosis | First-line therapy → Response (→ Relapse) | Overall survival (months) | |||
| Skin | Lymph node | Bone marrow | Peripheral blood | |||||
| 1 | M/53 | yes | no | yes | no | ALLO-SCT (AML protocol) | ALLO → CR | 100.9* |
| 2 | M/61 | yes | no | no | no | ALLO-SCT (AML protocol) | ALLO → CR | 75.5** |
| 3 | M/20 | yes | no | no | no | CODOX-M IVAC (LL protocol) | LL → CR → Relapse | 6.2 |
| 4 | M/78 | yes | yes | yes | yes | Pralatrexate (LL) | LL → PD | 8.1 |
| 5 | M/40 | no | no | yes | no | ALLO-SCT (cytarabine, idarubicin) | ALLO → CR → Relapse | 30 |
| 6 | F/75 | no | no | yes | yes | Azacytidine (AML protocol) | AML → PD | 7.1 |
| 7 | M/68 | no | no | yes | no | GMALL elderly (ALL protocol) | ALL → PD | 3.9 |
| 8 | M/74 | yes | no | no | no | CHOEP (LL) | LL → PR → PD | 10.8 |
| 9 | M/44 | no | yes | no | no | ALLO-SCT (hyper-CVAD, HD-MTX/cytarabine) | ALLO → CR | 97.8* |
| 10 | M/81 | yes | yes | yes | yes | 3 cycles tagraxofusp | O*** → CR → Relapse | 10.3** |
| 11 | M/72 | yes | yes | yes | yes | AUTO-SCT (GRAALL-2014) | AUTO → CR | 45.6* |
| 12 | M/47 | yes | yes | yes | yes | 1 cycle hd cytarabine, 2 cycles tagraxofusp (complete remission after 1 cycle) | O*** → CR → Relapse | 1.9 |
| 13 | F/69 | yes | yes | yes | no | 2 cycles cytarabine/daunorubicin (AML protocol) | AML → PD | 4.6 |
| 14 | M/71 | yes | no | no | no | None (only skin manifestation) | O → PD | 9.2 |
| 15 | M/73 | yes | no | n.d. | no | 3 cycles tagraxofusp | O*** → CR | 17.7* |
| 16 | M/68 | yes | no | no | no | AUTO-SCT (hyper-CVAD) | AUTO → CR | 87.3 |
| 17 | M/83 | yes | no | no | no | None (only skin manifestation) | O → PD | 56.5 |
| 18 | F/67 | yes | no | no | no | AUTO-SCT (hyper-CVAD) | AUTO → CR | 110.6** |
| 19 | M/56 | yes | yes | yes | yes | ALLO (GRAALL-2014B) | ALLO → CR | 79.6* |
| 20 | M/53 | no | yes | yes | yes | ALLO-SCT (Hyper-CVAD) | ALLO → CR → Relapse | 4.5 |
| 21 | M/70 | yes | yes | yes | yes | 5 cycles tagraxofusp | O*** → PR → Progress | 11.9 |
| 22 | M/21 | yes | yes | yes | yes | 1 cycle tagraxofusp | O*** → PD → ALLO | 33.1* |
| 23 | M/69 | yes | yes | yes | no | Prednisone/cyclophosphamide, 2 cycles Tagraxofusp | O*** → CR → Relapse | 9.6 |
| 24 | M/53 | yes | no | yes | no | ALLO (3 cycles tagraxofusp) | ALLO → CR → Relapse | 17.7* |
| 25 | M/82 | yes | yes | yes | yes | AML (venetoclax, azacytidine) | AML → PD | 13.9 |
| 26 | M/78 | yes | no | yes | yes | 5 cycles tagraxofusp | O*** → CR → Relapse | 15.8 |
ALL: acute lymphatic leukaemia-like without transplantation; ALLO: allogeneic transplantation; AML: acute myeloid leukaemia-like without transplantation; AUTO: autologous transplantation; CR: complete remission; LL: lymphoma-like; O: other therapeutic options; PD: progressive disease; PR: partial remission; SCT: stem cell transplantation.
* Alive at last contact.
** Death due to reason other than blastic plasmacytoid dendritic cell neoplasm.
*** tagraxofusp.
Two examples of patient cases are described in figure 1. The median age of patients was 68.5 years (range: 20–83). Out of these patients, 23 (89%) were male and 3 female.

Figure 1Examples of two Swiss patients. (A) Patient #11: this 72-year-old man presented with affection of skin, lymph nodes, bone marrow, peripheral blood and spleen. He underwent treatment with autologous stem cell transplantation according to GRAALL-2012 protocol and achieved complete remission. (B) Patient #14: This 71-year-old man initially presented with a 6-month history of skin lesions. Based on the clinical and laboratory findings, the patient was diagnosed with blastic plasmacytoid dendritic cell neoplasm with only skin manifestations. Due to age and comorbidities, allogeneic stem cell transplantation was no option. Therefore, a “wait and see” approach was adopted. Only one month later transformation into acute leukaemia was observed. Chemotherapy with B-CHOP (bortezomibe, cyclophosphamide, vincristine, adriablastine, prednisolone) was initiated, resulting in a very short partial response and early disease progression, leading to introduction of a 2nd line therapy with ABVD. Unfortunately, the patient passed away due to complications from an intracerebral bleeding, 9 months after the diagnosis and 15 months after the onset of the first clinical symptoms.
Skin manifestations at diagnosis were observed in 21 patients (81%), lymphadenopathy in 12 patients (46%), bone marrow involvement in 17 patients (65%), and blasts were detected in the peripheral blood in 11 cases (42%). Given the substantial male predominance of our cohort, no conclusions regarding sex-based differences could be drawn.
Ten patients (38%) received a stem cell transplantation as first-line therapy (seven ALLO and three AUTO). Of the seven patients who underwent ALLO, the induction regimens were as follows: 3 AML-like, 1 ALL-like, 2 lymphoma-like and 1 Other (tagraxofusp).
The remaining 16 patients received 1st line treatment as follows: 1 ALL, 3 AML, 3 LL, 9 Other (7 tagraxofusp, 2 Watch -and-Wait).
In brief, the responses achieved by the seven patients with tagraxofusp plus one patient with tagraxofusp as induction therapy before ALLO were as follows:
Patient #10 achieved a complete remission after only 3 cycles without further therapy. He relapsed approximately 8 months after diagnosis and died due to COVID-19 shortly after.
Patient #12 received an induction with 1 cycle of high-dose cytarabine, followed by 2 cycles of tagraxofusp. Despite achieving a complete remission after the 1st cycle of tagraxofusp, he then progressed and died without further therapy.
Patient #15 received 3 cycles of tagraxofusp – complicated by severe capillary leak syndrome – and achieved a complete remission. Without further treatment he was alive with overall survival 17.7 months at last contact.
Patient #21 achieved a PR after 5 cycles of tagraxofusp. As treatment had to be stopped for healthcare-insurance issues, he rapidly progressed and died without further therapy.
Patient #22 progressed after 1 cycle of tagraxofusp, was stabilised with 2 cycles of Hyper-CVAD and then underwent an ALLO. He was still alive 33 months after diagnosis.
Patient #23 received 2 cycles of tagraxofusp after short induction therapy with cyclophosphamide and prednisone, achieving a complete remission after one cycle. Due to progression after the 2nd cycle, salvage therapy with azacytidine and venetoclax was started. The patient died after the 4th cycle.
Patient #24 received 3 cycles of tagraxofusp as induction before ALLO which resulted in a complete remission. Seven months later, he relapsed and was treated with Hyper-CVAD before emigrating to his homeland. He was still alive 6 months after starting salvage therapy.
Patient #26 achieved a complete remission after 3 cycles of tagraxofusp. After 5 cycles, he progressed and was treated with seven cycles of azacytidine and venetoclax, dying thereafter due to refractory disease.
Two other cases deserve special attention, as they presented with asymptomatic skin lesions only, leading to an initial Watch-and-Wait approach. Patient #17 was diagnosed in 2011 at the age of 83 years. Four years later, he transformed to AML, salvage therapy with hydroxyurea and later decitabine was initiated without effect and the patient passed away. Patient #14 is described in figure 1.
All seven patients who underwent ALLO as first-line along with the three patients who underwent AUTO achieved complete remission, compared to only 38% (n = 6) of the 16 patients without transplantation (p = 0.009). Considering overall survival, 1st line therapy with AUTO/ALLO had much better outcomes than the rest (HR: 0.1, 95% CI: 0.02–0.47, p <0.001, figure 2) with a median overall survival of 86 months (4.5–NR) vs 9.8 (6.1–13.8) months.

Figure 2Kaplan-Meier curve of overall survival in the Swiss cohort according to therapy.
The seven patients still alive were treated with ALLO (four patients, one of them with tagraxofusp – induction), tagraxofusp (two patients, 1 of them progressed and underwent ALLO as 2nd line) and AUTO (one patient).
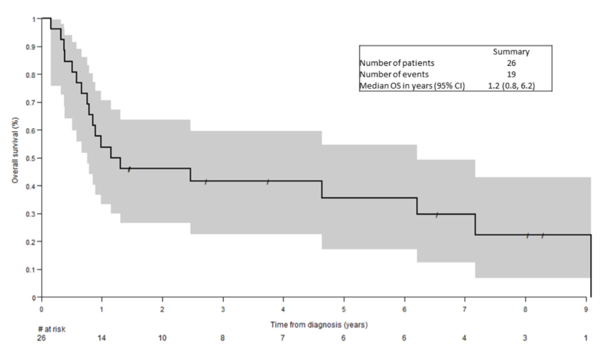
The median follow-up time was 8 years. The median overall survival was 1.2 years (95% CI: 0.8–6.2 years) (figure 3). The multivariate analysis revealed a significant association between survival and involvement of skin (HR: 0.22, 95% CI: 0.06–0.82, p = 0.024) and 1st line therapy (ALLO/AUTO vs non-ALLO/AUTO, HR: 0.06, 95% CI: 0.01–0.32, p = 0.001). Patients with skin involvement at diagnosis and treatment with ALLO/AUTO achieved a particularly good outcome (small numbers, data not shown).

Figure 3Kaplan-Meier curve of overall survival in the Swiss cohort.
We identified 115 international studies (listed in the appendix) including 600 patients from 1997 to 2020.
Most of the studies were case reports with fewer than ten patients. Details regarding therapeutic protocols and outcomes are lacking in many studies with larger cohorts [11, 14–22].
Most included patients were Europeans (n = 385, 64%) and Asians (n = 120, 20%), followed by Americans (n = 90, 15%) and patients from Australia/New Zealand (n = 3) and Africa (n = 2). Of the 115 publications, 96 (148 patients) were case reports and 18 (405 patients) retrospective cohort analyses. We found only one (47 patients) prospective study (the first phase 1/2 trial with tagraxofusp [13]).
BPDCN was more common in men with a predominance of 3:1. The median age (n = 414) at diagnosis was 66.5 years (ranging from 1 month to 103 years). Of note, women were significantly younger than men (median: 62 vs 67 years, mean: 53.4 vs 59.3 years, p = 0.027).
The clinical picture at diagnosis was heterogeneous (n = 516): skin lesions were observed in 249 patients (missing data in 219 patients), lymphadenopathy in 94 (missing data in 309 patients), bone marrow infiltration in 116 (missing data in 309 patients) and blasts in peripheral blood as an expression of leukaemic state in 47 (missing data in 309 patients). Based on sex, there were significant differences in the clinical presentation regarding bone marrow infiltration (p = 0.005) and lymph node involvement (p = 0.022) with both being more common in males (table 3).
Table 3Differences in presentation by sex.
| Females (n = 119) | Males (n = 295) | Missing data | Fisher’s exact test | |
| Involved organ | n (%) | n (%) | n | p-value (2-tailed) |
| Bone marrow | 25/57 (43.9%) | 91/148 (61.5%) | 209 | 0.028 |
| Lymph nodes | 19/59 (32.2%) | 75/147 (51.0%) | 208 | 0.02 |
| Peripheral blood (blasts) | 9/58 (15.5%) | 38/147 (25.9%) | 209 | 0.141 |
| Skin | 71/87 (81.6%) | 178/210 (84.8%) | 117 | 0.493 |
Other manifestations affecting <10% of patients included hepatomegaly (7.8%), splenomegaly (9.1%), central nervous system involvement (5.4%), or lung and pleural involvement (1.9%). However, almost any organ could be involved in individual cases (such as chest wall, gastrointestinal tract, conjunctiva, testis, buttock, ovaries, paravertebral tissue, parotid gland, lacrimal gland and thyroid gland, gallbladder, orbital cavity).
Unfortunately, we found no / very little data on the time elapsed between the onset of the first symptoms and the diagnosis.
We tried to assign each of the 516 patients to a therapeutic regimen (figure 4). ALLO was more prevalent in Europe (18% of European patients), Asia and America. Most patients in America were treated with ALL, while AML was predominantly performed in Europe. LL were in use in all continents in about 15–25% of patients. As (unlike in the Swiss Cohort) the primary attribution could not be undertaken with sufficient certainty, only 357 patients were considered for demonstrating the distribution of different 1st line therapeutic regimens. The most used regimens were ALLO (87 or 24%), followed by LL (83 or 23%), ALL (49 or 14%), AML (28 or 8%), AUTO (15 or 4%) and AL NOS (11 or 3%). A quarter of patients (84 or 24%) received a different treatment (“Other” category). Survival data were available for 364 patients. The median overall survival was 15 months (95% CI: 13–18, figure 5A) with no significant differences between sexes (p = 0.13, figure 5B).

Figure 4Geographic distribution of therapeutic regimens. U: unknown.

Figure 5Overall survival according to different conditions. (A) Overall survival – structured review of the literature; (B) Overall survival according to sex; (C) Overall survival according to remission status; (D) Overall survival according to therapeutic regimens.
Achieving a complete remission was significantly associated with a longer overall survival (figure 5C). Upfront transplant-concepts resulted in a high complete remission rate, e.g. ALLO vs non-ALLO (71.3% vs 57.8%, p <0.001) and ALLO/AUTO vs non-ALLO/AUTO (78.6% vs 26.0%, p = 0.001), ALL vs non-ALL (81.6% vs 57.8%, p = 0.026). AUTO vs non-AUTO was not meaningful due to small sample size. Overall, more intensive approaches like ALLO or ALL were associated with a longer overall survival (figure 5D; only therapeutic regimens with sufficient sample sizes are considered). ALL was non-inferior to ALLO in terms of overall survival (p = 0.416).
In a univariate analysis, overall survival was determined by age, involvement of bone marrow and other organs, blasts in the peripheral blood, choice of 1st line therapy and response to 1st line therapy (table 4).
Table 4Univariate analysis of parameters influencing overall survival.
| Variable | n | HR (95% CI) | p-value |
| Age (years) | 414 | 1.03 (1.02–1.04) | <0.001 |
| Sex (M vs F) | 414 | 1.25 (0.93–1.68) | 0.134 |
| Skin (Yes vs No) | 297 | 1.02 (0.67–1.56) | 0.922 |
| Lymph nodes (Yes vs No) | 206 | 1.45 (0.97–2.15) | 0.068 |
| Bone marrow (Yes vs No) | 205 | 1.53 (1.02–2.31) | 0.042 |
| Peripheral blood (Yes vs No) | 205 | 1.72 (1.11–2.67) | 0.016 |
| Other organ involvement (Yes vs No) | 206 | 1.66 (1.07–2.56) | 0.023 |
| Complete remission (Yes vs No) | 349 | 0.33 (0.25–0.44) | <0.001 |
| Relapse (Yes vs No) | 193 | 1.45 (0.98–2.14) | 0.060 |
| Leukaemic transformation (Yes vs No) | 155 | 1.74 (0.99–3.05) | 0.054 |
| Variable (1st line treatment) | |||
| ALLO/AUTO vs non-ALLO/AUTO | 254 | 0.18 (0.09–0.39) | <0.001 |
| ALLO/AUTO/ALL vs non-ALLO/AUTO/ALL | 254 | 0.19 (0.11–0.30) | <0.001 |
| ALLO vs non-ALLO | 254 | 0.21 (0.10–0.45) | <0.001 |
| ALL/AUTO vs non-ALL/AUTO | 254 | 0.27 (0.15–0.49) | <0.001 |
| ALL vs non-ALL | 254 | 0.31 (0.17–0.55) | <0.001 |
ALL: acute lymphatic leukaemia; ALLO: allogeneic transplantation; AUTO: autologous transplantation.
The multivariate analysis showed that in addition to the treatment concept, achieving a complete remission in first line was the strongest additional prognostic factor, and that bone marrow infiltration at diagnosis had a negative impact on overall survival (table 5).
Table 5Multivariate analysis of parameters influencing overall survival.
| Variable | HR (95% CI) | p-value |
| Complete remission (yes vs no) | 0.06 (0.02–0.18) | <0.001 |
| ALLO/AUTO vs non-ALLO/AUTO | 0.09 (0.02–0.38) | <0.001 |
| Relapse (yes vs no) | 8.63 (2.89–25.76) | <0.001 |
| Bone marrow (yes vs no) | 2.24 (1.28–3.92) | 0.005 |
| Age (years) | 1.01 (1.00–1.02) | 0.094 |
| Lymph nodes (yes vs no) | 1.44 (0.86–2.40) | 0.163 |
| Peripheral blood (yes vs no) | 1.20 (0.60–2.39) | 0.606 |
| Leukaemic transformation (yes vs no) | 1.19 (0.56–2.53) | 0.658 |
ALLO: allogeneic transplantation; AUTO: autologous transplantation.
Blastic plasmacytoid dendritic cell neoplasm (BPDCN) is a very rare disease with an often dismal outcome due to prolonged time to diagnosis, and lack of effective therapies and of randomised controlled prospective trials. We expect around 3-4 new diagnoses in Switzerland every year. The available literature mainly consists of case reports, case series and retrospective analyses. Phase 3 trials are lacking because of the rarity of the disease and the absence of recognised therapeutic options. The clinical presentation is heterogeneous, with cutaneous lesions often serving as a key to diagnosis, followed by lymphadenopathies, bone marrow involvement, cytopenia and leukaemic transformation.
Our cohort of Swiss patients contained 26 patients (two additional patients were not included in the analyses due to lack of informed consent) in 18 years with a median follow-up of 8 years. The mean population in Switzerland during this period was 8.1 million, yielding an incidence of 0.19 / million / year, which is slightly less than expected. The median age of onset, the male predominance, clinical presentations and survival curves are in line with previous findings as demonstrated in our structured literature review (see below).
The rate of patients undergoing allogeneic transplantation is similar (Switzerland: 31%, structured review of the literature: 24%), as is the general heterogeneity of therapeutic regimens in use. Due to the small sample size, our findings were not statistically significant. However, we made some interesting observations. All seven patients with ALLO as first line achieved a complete remission; the same holds true for the 3 AUTO patients. Only one ALL-regimen upfront was chosen in Switzerland (PD). Of 3 LL, only one led to a complete remission (1 PR, 1 PD) and all three AML (without consolidating ALLO) resulted in PD. The nine other first-line strategies mainly contained tagraxofusp (seven patients; 5 complete remission, 1 PR, 1 PD) or Watch-and-Wait (because of modest skin manifestation only, n = 2). Nearly all patients (with two exceptions) diagnosed in 2020 or later had tagraxofusp as part of their treatment. The follow-up is still too short to comment on the efficacy of tagraxofusp. The treatment regimen in the relapsed setting contained hydroxyurea, ALL protocols, B-CHOP, ABVD, hypomethylating agents and venetoclax. Of the 26 patients, seven are still alive (4 ALLO, 1 AUTO, 1 tagraxofusp) including one patient with ALLO 2nd line after progression to tagraxofusp and salvage treatment with Hyper-CVAD.
The structured review of the literature confirmed that BPDCN is mainly a disease of older age, even if it can occur at any age. Male patients seemed to more often have bone marrow infiltration and lymphadenopathies at diagnosis than women, a fact not affecting the outcome in a statistically significant manner. Median overall survival was around 15 months. Assuming underdiagnosing and underreporting of BPDCN, overall survival might even be shorter. Subdividing the therapeutic approaches into six different groups, upfront allogenic concepts or ALL regimens clearly performed better than AML-like or lymphoma-like treatments. The same probably holds true for an upfront autologous concept, even if the numbers were too small to draw firm conclusions. For the latter reason, the group with Other treatments could not be subdivided and no serious evaluation of efficacy was possible. Our study confirms that deeper responses to first-line therapy are cornerstones of a better outcome with patients in complete remission achieving the longest overall survival.
Different new therapeutic strategies involving targeted therapies have been increasingly used over the last decade. Bortezomib, an inhibitor of the nuclear factor-kappa B pathway, demonstrated promising results in combination with chemotherapy in mice [23]. The combination of lenalidomide and dexamethasone was successfully used in several case reports [24]. In a case at our institution, the use of bortezomib in combination with CHOP did not result in long-term remission.
The anti-CD38 antibody daratumumab was also used with mixed results, since CD38 is not only expressed on lymphoid tissues (mainly plasma cells), but also on myeloid cells [25]. Immunohistochemical investigations of BPDCN biopsies revealed [25] prominent staining of the anti-apoptotic protein BCL-2 leading to trials with venetoclax, with no measurable success. The discovery of PD-L1 positivity in approximately 50% of investigated BPDCN samples (range: 1% to 55%) has raised hopes about the potential of checkpoint inhibitors against PD-L1, although no such reports have been published to date [27]. Single reports of anti-CD123-CAR T-cell therapy have been published with discordant outcomes [28].
Tagraxofusp entered the scene a few years ago as the “new kid on the block”. This CD123-directed cytotoxin led to a high ORR, serving as a perfect induction – or bridging – therapy to transplant in eligible patients. A relevant and potentially lethal side effect is capillary leak syndrome. Nevertheless, tagraxofusp has become a new standard of care for patients with BPDCN and was approved by the Swiss authorities (Swissmedic) by January 2024. As of today, allogenic stem cell transplantation seems to be the best therapeutic option in patients with BPDCN, especially in younger patients with a good performance status. Complete remission can be achieved in about 60% of these patients. Future directions will probably focus on the development of more appropriate (preferably allogenic) CAR T-cell therapy or bispecific antibodies, as well as on combination therapies including tagraxofusp.
The strength of our study is the extensive work-up of available literature, and this not only in the English language, but also in German, French and Italian. It gives a comprehensive overview of BPDCN as a rare disease entity in the national and worldwide context. By including the largest haemato-oncology centres in Switzerland, a substantiated statement about prevalence and therapeutic modalities in Switzerland can be given.
Our study has several limitations. First, the data drawn from the 115 international papers were often not complete, not related to the scope of the present study and of heterogeneous quality. Since, as mentioned, the term BPDCN was only introduced in 2008, it cannot be ruled out that we would have found further (especially older) relevant literature with extended search terms. As such, stringent conclusions beyond a descriptional and hypothesis-generating manner cannot be drawn from this kind of even structured literature review. Secondly, due to upcoming availability of tagraxofusp, original articles and case reports as well as cohort studies were only considered up to 2020. Thirdly, collecting the data for our Swiss cohort in a retrospective manner meant that not every centre could provide us with required details, for example the time from first symptoms to diagnosis and treatment. Further, it cannot be excluded that a few BPDCN patients were treated outside the larger centres, even if the probability is low. As the number of patients in the Swiss cohort is very small, it is difficult to demonstrate statistically significant differences between subgroups.
In conclusion, our study yielded deeper insights into a rare, heterogeneous disease, which is difficult to treat and where comparative studies are lacking. We propose that national or even continental registries be established for every orphan disease.
The authors would like to thank the patients and their families for agreeing to register within the Swiss cohort.
The work was partly funded by the Foundation for Scientific Research at Triemli Municipal Hospital.
All authors have completed and submitted the International Committee of Medical Journal Editors form for disclosure of potential conflicts of interest. No potential conflict of interest related to the content of this manuscript was disclosed.
1. Guru Murthy GS, Pemmaraju N, Atallah E. Epidemiology and survival of blastic plasmacytoid dendritic cell neoplasm. Leuk Res. 2018 Oct;73:21–3. doi: https://doi.org/10.1016/j.leukres.2018.08.014
2. Facchetti F. Ungari M, Marocolo D, Lonardi S, Vermi W. Blastic plasmacytoid dendritic cell neoplasm. Hematology Meeting Reports. 2009;3(3):1–3.
3. Herling M, Jones D. CD4+/CD56+ hematodermic tumor: the features of an evolving entity and its relationship to dendritic cells. Am J Clin Pathol. 2007 May;127(5):687–700. doi: https://doi.org/10.1309/FY6PK436NBK0RYD4
4. Chaperot L, Bendriss N, Manches O, Gressin R, Maynadie M, Trimoreau F, et al. Identification of a leukemic counterpart of the plasmacytoid dendritic cells. Blood. 2001 May;97(10):3210–7. doi: https://doi.org/10.1182/blood.V97.10.3210
5. Swerdlow SH, Campo E, Pileri SA, Harris NL, Stein H, Siebert R, et al. The 2016 revision of the World Health Organization classification of lymphoid neoplasms. Blood. 2016 May;127(20):2375–90. doi: https://doi.org/10.1182/blood-2016-01-643569
6. Khoury JD, Solary E, Abla O, Akkari Y, Alaggio R, Apperley JF, et al. The 5th edition of the World Health Organization Classification of Haematolymphoid Tumours: Myeloid and Histiocytic/Dendritic Neoplasms. Leukemia. 2022 Jul;36(7):1703–19. doi: https://doi.org/10.1038/s41375-022-01613-1
7. Pemmaraju N, Kantarjian H, Sweet K, Wang E, Senapati J, Wilson NR, et al.; North American Blastic Plasmacytoid Dendritic Cell Neoplasm Consortium. North American Blastic Plasmacytoid Dendritic Cell Neoplasm Consortium: position on standards of care and areas of need. Blood. 2023 Feb;141(6):567–78. doi: https://doi.org/10.1182/blood.2022017865
8. Marco Herling PB. Antonio Cozzio, Edgar Dippel, Peter Dreger, Emmanuella Guenova, Constanze Jonak, Markus G. Manz, Ilske Oschlies, Peter Reimer, Andreas Rosenwald, Ingrid Simonitsch-Klupp, Bernhard Wörmann. [updated January 2022]; Available from: www.onkopedia.com/de/onkopedia/guidelines/blastische-plasmazytoide-dendritische-zellneoplasie-bpdcn/@@guideline/html/index.html
9. Pollyea DA, Altman JK, Assi R, Bixby D, Fathi AT, Foran JM, et al. Acute Myeloid Leukemia, Version 3.2023, NCCN Clinical Practice Guidelines in Oncology. J Natl Compr Canc Netw. 2023 May;21(5):503–13.
10. Julia F, Dalle S, Duru G, Balme B, Vergier B, Ortonne N, et al. Blastic plasmacytoid dendritic cell neoplasms: clinico-immunohistochemical correlations in a series of 91 patients. Am J Surg Pathol. 2014 May;38(5):673–80. doi: https://doi.org/10.1097/PAS.0000000000000156
11. Pagano L, Valentini CG, Pulsoni A, Fisogni S, Carluccio P, Mannelli F, et al.; GIMEMA-ALWP (Gruppo Italiano Malattie EMatologiche dell’Adulto, Acute Leukemia Working Party). Blastic plasmacytoid dendritic cell neoplasm with leukemic presentation: an Italian multicenter study. Haematologica. 2013 Feb;98(2):239–46. doi: https://doi.org/10.3324/haematol.2012.072645
12. Lee JK, Schiller G. Blastic plasmacytoid dendritic cell neoplasm. Clin Adv Hematol Oncol. 2012 Jan;10(1):60–2.
13. Pemmaraju N, Lane AA, Sweet KL, Stein AS, Vasu S, Blum W, et al. Tagraxofusp in Blastic Plasmacytoid Dendritic-Cell Neoplasm. N Engl J Med. 2019 Apr;380(17):1628–37. doi: https://doi.org/10.1056/NEJMoa1815105
14. Julia F, Petrella T, Beylot-Barry M, Bagot M, Lipsker D, Machet L, et al. Blastic plasmacytoid dendritic cell neoplasm: clinical features in 90 patients. Br J Dermatol. 2013 Sep;169(3):579–86. doi: https://doi.org/10.1111/bjd.12412
15. Feuillard J, Jacob MC, Valensi F, Maynadié M, Gressin R, Chaperot L, et al. Clinical and biologic features of CD4(+)CD56(+) malignancies. Blood. 2002 Mar;99(5):1556–63. doi: https://doi.org/10.1182/blood.V99.5.1556
16. Roos-Weil D, Dietrich S, Boumendil A, Polge E, Bron D, Carreras E, et al.; European Group for Blood and Marrow Transplantation Lymphoma, Pediatric Diseases, and Acute Leukemia Working Parties. Stem cell transplantation can provide durable disease control in blastic plasmacytoid dendritic cell neoplasm: a retrospective study from the European Group for Blood and Marrow Transplantation. Blood. 2013 Jan;121(3):440–6. doi: https://doi.org/10.1182/blood-2012-08-448613
17. Tsagarakis NJ, Kentrou NA, Papadimitriou KA, Pagoni M, Kokkini G, Papadaki H, et al.; Hellenic Dendritic Cell Leukemia Study Group. Acute lymphoplasmacytoid dendritic cell (DC2) leukemia: results from the Hellenic Dendritic Cell Leukemia Study Group. Leuk Res. 2010 Apr;34(4):438–46. doi: https://doi.org/10.1016/j.leukres.2009.09.006
18. Hashikawa K, Niino D, Yasumoto S, Nakama T, Kiyasu J, Sato K, et al. Clinicopathological features and prognostic significance of CXCL12 in blastic plasmacytoid dendritic cell neoplasm. J Am Acad Dermatol. 2012 Feb;66(2):278–91. doi: https://doi.org/10.1016/j.jaad.2010.12.043
19. Dalle S, Beylot-Barry M, Bagot M, Lipsker D, Machet L, Joly P, et al. Blastic plasmacytoid dendritic cell neoplasm: is transplantation the treatment of choice? Br J Dermatol. 2010 Jan;162(1):74–9. doi: https://doi.org/10.1111/j.1365-2133.2009.09373.x
20. Aoki T, Suzuki R, Kuwatsuka Y, Kako S, Fujimoto K, Taguchi J, et al. Long-term survival following autologous and allogeneic stem cell transplantation for blastic plasmacytoid dendritic cell neoplasm. Blood. 2015 Jun;125(23):3559–62. doi: https://doi.org/10.1182/blood-2015-01-621268
21. Brüggen MC, Valencak J, Stranzenbach R, Li N, Stadler R, Jonak C, et al. Clinical diversity and treatment approaches to blastic plasmacytoid dendritic cell neoplasm: a retrospective multicentre study. J Eur Acad Dermatol Venereol. 2020 Jul;34(7):1489–95. doi: https://doi.org/10.1111/jdv.16215
22. Cernan M, Szotkowski T, Hisemova M, Cetkovsky P, Sramkova L, Stary J, et al. Blastic plasmacytoid dendritic cell neoplasm: first retrospective study in the Czech Republic. Neoplasma. 2020 May;67(3):650–9. doi: https://doi.org/10.4149/neo_2020_190507N407
23. Philippe L, Ceroi A, Bôle-Richard E, Jenvrin A, Biichle S, Perrin S, et al. Bortezomib as a new therapeutic approach for blastic plasmacytoid dendritic cell neoplasm. Haematologica. 2017 Nov;102(11):1861–8. doi: https://doi.org/10.3324/haematol.2017.169326
24. Marmouset V, Joris M, Merlusca L, Beaumont M, Charbonnier A, Marolleau JP, et al. The lenalidomide/bortezomib/dexamethasone regimen for the treatment of blastic plasmacytoid dendritic cell neoplasm. Hematol Oncol. 2019 Oct;37(4):487–9. doi: https://doi.org/10.1002/hon.2671
25. Iversen KF, Holdgaard PC, Preiss B, Nyvold CG, Plesner T. Daratumumab for treatment of blastic plasmacytoid dendritic cell neoplasm. A single-case report. Haematologica. 2019 Sep;104(9):e432–3. doi: https://doi.org/10.3324/haematol.2018.214635
26. Montero J, Stephansky J, Cai T, Griffin GK, Cabal-Hierro L, Togami K, et al. Blastic Plasmacytoid Dendritic Cell Neoplasm Is Dependent on BCL2 and Sensitive to Venetoclax. Cancer Discov. 2017 Feb;7(2):156–64. doi: https://doi.org/10.1158/2159-8290.CD-16-0999
27. Aung PP, Sukswai N, Nejati R, Loghavi S, Chen W, Torres-Cabala CA, et al. PD1/PD-L1 Expression in Blastic Plasmacytoid Dendritic Cell Neoplasm. Cancers (Basel). 2019 May;11(5):695. doi: https://doi.org/10.3390/cancers11050695
28. Jiang YL, Li Q, Yuan T, Jiang YY, Deng Q. Case Report of Anti-CD123 Chimeric Antigen Receptor T-Cell Therapy Followed by Radiotherapy for a Recurrence of Blastic Plasmacytoid Dendritic Cell Neoplasm After Allogeneic Hematopoietic Stem Cell Transplantation. OncoTargets Ther. 2020 Apr;13:3425–30. doi: https://doi.org/10.2147/OTT.S250016
The appendix is available in the pdf version of the article at https://doi.org/10.57187/s.3885.