DOI: https://doi.org/https://doi.org/10.57187/s.3418
Increasing heat stress is one of Switzerland’s most critical climate-related risks [1]. Currently, Switzerland is experiencing long-term warming that is approximately twice that of the global average. According to the CH2018 Swiss Climate Scenarios, the frequency and intensity of heatwaves are expected to increase, presenting a substantial public health risk [2]. Exposure to high ambient temperatures is associated with various morbidity outcomes and an increased risk of premature death [3–7]. In Switzerland, recent heatwaves have caused substantial excess mortality of several hundred deaths [8–11]. Although heatwaves are part of naturally varying weather conditions, estimates indicate that approximately one-third of the heat-related deaths from 1991 to 2018 were attributable to human-induced climate change [12]. Given the continuing warming trend, preventative measures to reduce the heat-related mortality burden are crucial.
To protect the health of the population from heat, European public health authorities have introduced intervention measures. Many of these were implemented after the heatwave of 2003, which contributed to 70,000 excess deaths across the region [13], including nearly 1000 in Switzerland [14]. Health authorities in some cantons of Switzerland have implemented heat-health action plans (HHAPs). Such plans are recommended by the Word Health Organization (WHO) Europe and support a systematic and comprehensive public health response that consists of a portfolio of measures at different levels [15]. The canton of Ticino in the south of Switzerland and cantons in the Lake Geneva region implemented HHAPs between 2004 and 2008. These cantons followed the example of neighbouring countries France and Italy, which were among the first to adopt national HHAPs [10, 16]. Cantonal HHAPs are coordinated by the cantonal health departments and include various public health measures involving different partners from the health and social care system. Measures are targeted to inform the population and health professionals about heat-related health risks, protect the most vulnerable groups during heat events, and support long-term adaptation to increasing heat stress. In cantons without HHAPs, public health measures are lacking or have only been partly implemented; partial implementations are mostly limited to single actions to raise awareness about heat-related health risks during heat episodes [8, 17, 18].
To effectively prevent heat-related health effects, several questions must be answered at the local level. The identification of the most vulnerable population groups is essential for planning effective interventions. A better understanding of the causes of death that are associated with heat might elucidate possible underlying vulnerabilities. Although it is important to determine the critical outdoor temperatures for heat-related mortality, an understanding of the role of indoor temperatures in buildings is also needed [19–21]. People spend most of their time indoors [22, 23]. However, to date, most studies have only reported the exposure-response relationships for outdoor temperature, and thus critical indoor temperatures remain unclear.
To better understand these important aspects of the prevention of heat-related mortality in Switzerland, a large, nationwide analysis of individual death records was carried out, providing a deeper understanding than typical heat studies that rely on aggregated mortality data. Using a case-crossover study design and a high spatial resolution model of daily temperature exposure, we aimed to systematically identify heat-related causes of death, investigate critical indoor temperatures for heat-related mortality, and define the most vulnerable populations by assessing various individual risk factors. In addition, we aimed to determine whether the prevention measures implemented in Switzerland changed the effect of extreme temperatures on mortality between 2003 and 2016.
Individual death records from the Swiss National Cohort (SNC) from 2003 to 2016 were used [24]. The SNC is a long-term cohort based on the linkage of mortality and national census records for all people residing in Switzerland. It encompasses individual data on sex, age, marital status, education, accommodation, and other factors. The SNC also contains a Swiss-specific indicator for neighbourhood-based socioeconomic position, which allows the assessment of health effects by socioeconomic profiles [25, 26]. For the present 14-year analysis, only deaths in the permanent resident population that occurred during the warm season (May to September) were included. Observations with missing information on the residential building were excluded (n = 309), which left 320,306 deaths during the study period.
The main outcome was all-cause mortality (International Classification of Diseases, 10th version: A00–Z99). In addition, specific primary causes of death indicated by previous studies [6, 27] to have a plausible association with heat exposure were investigated. These included neoplasms (C00-D48), endocrine diseases (E00-E90), mental and behavioural disorders (F00-F99), diseases of the nervous system (G00-G99), cardiovascular diseases (CVDs; I00-I99), respiratory diseases (J00-J99), digestive diseases (K00-K93), renal diseases (N00-N39), and external-cause mortality (V01-Y98). CVDs were divided into cerebrovascular diseases (I60-I69), stroke (I60-I64), ischaemic heart diseases (I20-I25), myocardial infarction (I21-I22), and hypertensive diseases (I10-I15). Additionally, we considered the following primary death causes: diabetes (E10-E14), Alzheimer’s disease and dementia (F00-F03, G30-G31.1, G31.8-G31.9), chronic obstructive pulmonary disease (COPD; J41-J44), suicide (X60-X84), and accidents (V01-X59).
The exposure to ambient temperature at the residential address of each deceased person was assessed using the temperature model by Flückiger et al. [28]. The model predicts the daily maximum temperature (Tmax), daily mean temperature (Tmean), and daily minimum temperature (Tmin) 2 m above ground level with a fine spatial resolution of 100 × 100 m across Switzerland. It was developed to capture small-scale temperature variability within cities and in complex topographic terrains using satellite data, station-based temperature measurements, atmospheric re-analysis data, and land-use information. Tmax was used for the analysis of the effect of heat on mortality to assess the effect of the most extreme warm season temperatures. Previous studies in Switzerland have shown that Tmean, Tmax, and Tmin are highly correlated and result in similar exposure-response relationships with mortality [10, 29]. However, to assess whether warm nights affected cause-specific mortality differently, the cause-specific exposure-response curves for outdoor Tmin are presented in the appendix.
Exposure to daily maximum indoor temperature (indoor Tmax) was estimated for each death using a simplified thermal building model for three typical Swiss building types [30]. Indoor temperature levels were simulated using predefined physical building parameters for single-family houses, apartment houses built in or before 1990, and apartment houses built after 1990 (table S1 in the appendix). The individual-level information on building type and building period was provided by the SNC. It was assumed that the windows were open (not tilted) during the night for natural cooling. The indoor temperature model considered individual outdoor Tmax levels and daily mean global radiation on the day of death and in the 14 days prior to account for the influence of the weather conditions on the thermal mass of the building. Outdoor temperature at the residential address was estimated with the fine-grained temperature model by Flückiger et al. [28]. The data on global radiation was collected from the MeteoSwiss monitoring network from the station closest to the building. A detailed description of the indoor temperature simulation and its comparison to a more complex thermal building simulation program is provided in the appendix A.
A time-stratified case-crossover design was used to investigate the acute effects of short-term temperature increases on mortality. In this approach, the temperature exposure on and before the day of death (at the address of the deceased person) was compared with exposure during non-event (control) days [31]. Because each participant served as his or her own control, potentially confounding effects of individual time-invariant characteristics, such as age or sex, were controlled for. Control days were matched to the same day of the week within the month that the death occurred to avoid overlap bias [32]. Thus, a maximum of four control days per death was possible. In the time-stratified case-crossover design, acute heat-related health effects were assessed on the basis of individual temperature exposures. In contrast to classical time series studies relying on central monitoring stations, small-scale spatial contrasts in temperature exposure were explicitly considered in this study design.
Conditional logistic regression models with distributed lag non-linear models (DLNMs) were run to estimate associations between cause-specific mortality risks and outdoor and indoor temperatures, accounting for the nonlinear form of exposure-response functions [33]. The DLNM method relies on the definition of a cross-basis function. For outdoor temperature, the exposure dimension of the cross-basis term was modelled with a quadratic B-spline with two internal knots placed at the 50th and 90th percentile (P) of the warm season temperature distribution. The lag dimension was specified as a natural cubic spline with two internal knots placed at equally spaced values on the log scale, similar to the methods of previous studies investigating temperature-mortality associations during the warm season [29, 34, 35]. We considered lagged effects up to a week before death to capture potential short-term harvesting. An alternative number of lags (10) and the positions of the knots at P75 and P90, as well as two knots (P10/P90 and P75/P95), were tested for all-cause mortality, and the best model was selected according to the lowest Akaike information criterion (AIC).
Cumulative temperature-mortality associations were evaluated across the whole lag period for each death cause. These associations were centred at the cause-specific minimum mortality temperature (MMT), following a common approach of studies applying DLNM. This defines the temperature with the least mortality risk, corresponding to an odds ratio (OR) of 1. Similar to previous work [11, 36], the MMT was limited to values between P25 and P90 of warm season temperature distributions in this study.
To characterise the effect of extreme heat exposure on cause-specific mortality, cumulative (over lags 0–7) odds ratios (ORs) of mortality are presented as the change in mortality risk from the cause-specific MMT to the P98 of the warm season Tmax (33 °C).
The indoor temperature-mortality associations on the day of death were modelled on the basis of the exposure dimension of the DLNM method only (one-basis function; quadratic B-spline, 2 degrees of freedom) because indoor temperature levels were simulated using the temperature levels up to 14 days before death. Preliminary analyses, which also considered potential lagged effects of indoor temperature, revealed that these effects were negligible. The model parameters (degrees of freedom and alternative spline functions) were selected during preliminary analyses and validated using AIC. To evaluate the robustness of the method of defining the MMT of the temperature-mortality association for indoor Tmax, a sensitivity analysis was performed by widening the range from P25-P90 to P2-P90 of the warm season temperature distribution. All outdoor and indoor temperature-mortality models included an indicator variable for national public holidays.
To study effect modification by individual characteristics, stratified analyses for outdoor Tmax and all-cause mortality were conducted by age (<75 years, 75–84 years, >85 years), sex, marital status (married, single, divorced, and widowed adults), nationality (Swiss, European, and other nationalities), education (compulsory or less, upper secondary, and tertiary), neighbuorhood-based socioeconomic position (low, medium, and high), building period (before 1970, 1970–1990, and after 1990), and floor of residence (ground floor to 2nd floor, which includes single-family homes, 3rd to 5th floor, and >5th floor).
To assess whether public health interventions and public awareness contributed to a reduction in heat-related mortality in Switzerland, we compared the ORs of all-cause mortality during two time periods (2003–2008 versus 2009–2016) in three regions (all of Switzerland, cantons that had implemented HHAPs, and cantons without HHAPs). The cantonal HHAPs had all been implemented between 2004 and 2008. Thus, the more recent period marks the time when HHAPs were in place [10]. The models were run separately for each period and region to estimate the effect of extreme temperatures (the P98 of period- and region-specific warm season Tmax values) using the period and region-specific MMT as a reference.
All analyses were conducted with R software (version 4.1.3). The DLNM models were fitted in R using the dlnm package [33] following the exposure history approach described by Gasparrini [37].
No protocol has been registered for this observational study.
The SNC was approved by the ethics committees of the canton of Bern (No KeK 153/2014, PB_2020-00050).
Table 1 describes the characteristics of the study population and daily temperature levels for Switzerland and two regions of cantons (defined according to whether they had implemented HHAPs before 2009). Most of the participants (68%) were aged 75 or older. The age and sex distributions were similar in the two regions. However, the percentage of people with low socioeconomic position was higher in the region with HHAPs (32%) than in the region without HHAPs (18%). Outdoor Tmax was highly correlated with Tmin (0.80, Pearson correlation coefficient) and indoor Tmax (0.88). In both periods (2003–2008 and 2009–2016), the median exposure to outdoor Tmax was higher in cantons that had implemented HHAPs compared to those without such prevention measures. Annual means of outdoor Tmax on the day of death increased in both regions during the warm summers of 2003 and 2015 when major heatwaves occurred [9, 14] (figure S2 in the appendix). Mortality from CVD (34.3%) and neoplasms (29%) accounted for the largest fraction of deaths (table S2 in the appendix). Alzheimer’s disease and dementia, external-cause mortality, mental disorders, respiratory diseases, digestive diseases, diabetes, and renal diseases accounted for 6.8%, 6.3%, 5.7%, 5.4%, 4.1%, 2.1%, and 1.3% of mortality, respectively.
Figure 1 shows the cause-specific cumulative temperature-mortality associations for outdoor Tmax with the corresponding MMT. The risk of mortality generally increased with temperature, except for the risk of mortality from digestive diseases, which was not significantly associated with warm season temperature. For most diseases, temperature had a significant effect even at moderately warm temperatures. However, for various cardiovascular diseases and neoplasms, the risk increased most markedly above 30 °C. Using the MMT as a reference, extreme heat (33 °C) was associated with a significant increase in all-cause mortality across the lag period of 0–7 days (OR: 1.21, 95% CI: 1.17–1.25), and the mortality of multiple disease groups, including mental disorders (OR: 1.64, 95% CI: 1.44–1.86), respiratory diseases (OR: 1.62, 95% CI: 1.42–1.86), nervous disorders (OR: 1.43, 95% CI: 1.42–1.86), endocrine diseases (OR: 1.33, 95% CI: 1.10–1.62), CVD (OR: 1.21, 95% CI: 1.14–1.29), external causes (OR: 1.21, 95% CI: 1.07–1.38), and digestive diseases (OR: 1.11, 95% CI: 1.01–1.22) (table S2). Strong associations were found for the specific diseases Alzheimer’s and dementia (OR: 1.67, 95% CI: 1.48–1.88), COPD (OR: 1.37, 95% CI: 1.12–1.67), diabetes (OR: 1.34, 95% CI: 1.06–1.70), and myocardial infarction (OR: 1.26, 95% CI: 1.10–1.44). Exposure-response curves for outdoor Tmin were similar (figure S3, table S2 in the appendix).
Table 1Descriptive statistics of individual mortality and temperature data in Switzerland by time period (2003–2008; 2009–2016) and region (with and without heat-health action plans, HHAPs between 2003 and 2016).
| Time period and region | ||||||||||||
| 2003–2016 | 2003–2008 | 2009–2016 | ||||||||||
| Switzerland | With HHAPs | Without HHAPs | With HHAPs | Without HHAPs | ||||||||
| Population, count (%) | 320,306 | 100.0% | 37,908 | 100.0% | 99,637 | 100.0% | 50,929 | 100.0% | 131,832 | 100.0% | ||
| Number of cantons | 26 | 6a | 20 | 6a | 20 | |||||||
| Age (years) | <75 | 101,763 | 31.8% | 12,784 | 33.7% | 31,806 | 31.9% | 16,532 | 32.5% | 40,641 | 30.8% | |
| 75–84 | 94,049 | 29.4% | 11,292 | 29.8% | 30,567 | 30.7% | 14,075 | 27.6% | 38,115 | 28.9% | ||
| 85+ | 124,494 | 38.9% | 13,832 | 36.5% | 37,264 | 37.4% | 20,322 | 39.9% | 53,076 | 40.3% | ||
| Sex | Female | 161,850 | 50.5% | 19,142 | 50.5% | 50,930 | 51.1% | 25,465 | 50.0% | 66,313 | 50.3% | |
| Male | 158,456 | 49.5% | 18,766 | 49.5% | 48,707 | 48.9% | 25,464 | 50.0% | 65,519 | 49.7% | ||
| Socioeconomic positionb | Low 1st quintile | 70,797 | 22.1% | 12,143 | 32.0% | 18,644 | 18.7% | 15,995 | 31.4% | 24,015 | 18.2% | |
| Medium 2nd–4th quintile | 179,534 | 56.1% | 19,460 | 51.3% | 57,473 | 57.7% | 26,383 | 51.8% | 76,218 | 57.8% | ||
| High 5th quintile | 49,214 | 15.4% | 3,438 | 9.1% | 16,785 | 16.8% | 4,968 | 9.8% | 24,023 | 18.2% | ||
| Unknown | 20,761 | 6.5% | 2,867 | 7.6% | 6,735 | 6.8% | 3,583 | 7.0% | 7,576 | 5.7% | ||
| Education | School-age or younger | 1,733 | 0.5% | 187 | 0.5% | 451 | 0.5% | 298 | 0.6% | 797 | 0.6% | |
| Compulsory or less | 119,845 | 37.4% | 17,519 | 46.2% | 39,672 | 39.8% | 19,593 | 38.5% | 43,061 | 32.7% | ||
| Upper secondary | 144,958 | 45.3% | 14,504 | 38.3% | 45,978 | 46.1% | 20,544 | 40.3% | 63,932 | 48.5% | ||
| Tertiary level | 43,078 | 13.4% | 4,932 | 13.0% | 11,746 | 11.8% | 7,788 | 15.3% | 18,612 | 14.1% | ||
| Unknown | 10,692 | 3.3% | 766 | 2.0% | 1,790 | 1.8% | 2,706 | 5.3% | 5,430 | 4.1% | ||
| Urbanisation | Urban | 211,763 | 66.1% | 25,223 | 66.5% | 65,546 | 65.8% | 33,784 | 66.3% | 87,210 | 66.2% | |
| Peri-urban | 59,510 | 18.6% | 7,072 | 18.7% | 18,143 | 18.2% | 9,754 | 19.2% | 24,541 | 18.6% | ||
| Rural | 49,033 | 15.3% | 5,613 | 14.8% | 15,948 | 16.0% | 7,391 | 14.5% | 20,081 | 15.2% | ||
| Outdoor Tmax, median (P5, P98) | 22.4 | 13.8, 32.5 | 23.2 | 14.8, 32.6 | 22.2 | 13.5, 32.6 | 23.1 | 14.6, 32.4 | 22.0 | 13.6, 32.5 | ||
| Outdoor Tmin, median (P5, P98) | 12.3 | 6.0, 18.4 | 12.8 | 6.3, 19.1 | 12.3 | 5.6, 18.0 | 12.7 | 6.5, 19.1 | 12.1 | 6.1, 18.2 | ||
| Indoor Tmax, median (P5, P98) | 23.0 | 20.0, 28.0 | 23.0 | 20.1, 28.0 | 22.7 | 20.0, 28.0 | 23.4 | 20.3, 29.0 | 23.0 | 20.1, 28.0 | ||
a Cantons with heat-health action plans (HHAPs) include Ticino, Geneva, Vaud, Freiburg, Neuchâtel, and Valais, which introduced HHAPs between 2003 and 2008.
b The neighbourhood-based socioeconomic position index ranging from the lowest (0) to highest (5) quintiles [26].
Tmax: Daily maximum temperature; P5: 5th percentile of warm season temperature distribution; P98: 98th percentile of warm season temperature distribution.

Overall cumulative exposure-response associations (with 95% confidence intervals) between outdoor daily maximum temperature (Tmax) and cause-specific mortality along 7 days of lag in Switzerland during the warm seasons (May to September) of 2003–2016. The dashed vertical lines indicate the cause-specific minimum mortality temperature. OR: odds ratio; IHD: ischaemic heart disease; MI: myocardial infarction; COPD: chronic obstructive pulmonary disease.
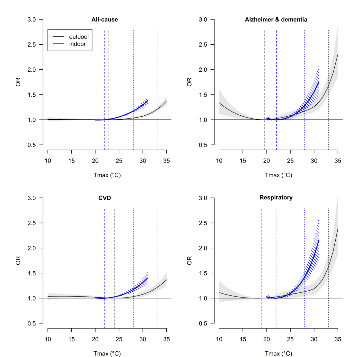
Figure 2 compares the risk of all-cause mortality and cause-specific mortality as a function of indoor and outdoor Tmax. The curves for indoor Tmax follow a similar pattern as those for outdoor Tmax. As indicated by the dotted vertical lines in figure 2, the ORs of mortality at the P98 of the warm season temperature distribution, which was 28 °C for indoor Tmax and 33 °C for outdoor Tmax, were comparable. Slightly higher ORs at the P98 were found for outdoor Tmax than for indoor Tmax for Alzheimer’s disease and respiratory diseases (table S2). A statistically significant effect of indoor Tmax on all-cause mortality with the 95% confidence interval of the OR >1.0 was observed when indoor Tmax reached 23–24 °C. The indoor temperature-mortality associations for all investigated death causes are provided in the appendix (figure S4 in the appendix). Sensitivity analysis revealed that the exposure-response associations for indoor Tmax did not differ with alternative search strategies to define the MMT (figure S5 in the appendix).

Comparison of outdoor (black curve) and indoor (blue curve) temperature-mortality associations (with 95% confidence intervals) for specific mortality causes in Switzerland during the warm seasons of 2003–2016. Odds ratios (ORs) represent the change in mortality risk associated with outdoor and indoor daily maximum temperature (Tmax) versus the cause-specific minimum mortality temperature (dashed vertical lines). Dotted vertical lines mark the 98th percentile of the warm season Tmax.
In addition, we observed significant effect modification by neighbuorhood-based socioeconomic position and education. The heat-related effects were significantly stronger in people with low education levels than in those with high education levels (Chi-squared test p = 0.035). The effects of extreme heat on all-cause mortality were stronger in older women and men aged under 75 years with low socioeconomic position than in participants of the same age and sex with an intermediate or high socioeconomic position (figure S6 in the appendix). However, in men aged ≥75 years, the heat-related effects tended to be stronger among those with a high socioeconomic position. Overall, building characteristics and floor were not effect modifiers; however, in the population with a low socioeconomic position, risks increased in persons who lived in a building constructed from 1970 to 1990, lived on the 3rd to 5th floor, or experienced high indoor temperatures (≥24 °C) (figure S6 in the appendix). By contrast, for the population with a high socioeconomic position, living in an apartment building on the 3rd floor or higher was not a risk factor for heat-related mortality.
In Switzerland, the risk for heat-related all-cause mortality was significantly lower in 2009–2016 than in 2003–2008 (figure 3, figure S7 in the appendix). Although the decrease in mortality risk for outdoor temperatures reaching the P98 of period- and region-specific warm season Tmax values was statistically significant in the region of cantons that have implemented HHAPs, a smaller and nonsignificant difference was found across cantons where no such measures had been taken (table S3 in the appendix). When comparing the period-specific ORs of vulnerable population groups in the region that had introduced HHAPs, we observed a stronger reduction in risk in those aged 75 and older than in those with low socioeconomic position (table S3). For the latter, no statistically significant difference in effect was found between the two time periods.
However, when 2003 was excluded from the analysis, the observed decrease in risk associated with extreme heat between the two periods became smaller (and nonsignificant) in the region that had introduced HHAPs (figure S8 in the appendix). In the region without HHAPs, no risk reduction was observed.
Table 2Cumulative odds ratios (ORs) with 95% confidence intervals of heat-related all-cause mortality at outdoor daily maximum temperatures of 33 °C in relation to the minimum mortality temperature of 22.7 °C, stratified by individual characteristics. Significant differences (p <0.05, assessed by Chi-squared tests) across categories in the total population (Ptotal) and between males and females (Pmale/Pfemale) are marked in bold.
| Total | Male | Female | ||||||||||||
| Population | Deaths | OR | 95% CI | Ptotal | Deaths | OR | 95% CI | Deaths | OR | 95% CI | Pmale/Pfemale | |||
| Total | 320,306 | 1.21 | 1.17–1.25 | 158,456 | 1.17 | 1.11–1.23 | 161,850 | 1.24 | 1.18–1.30 | 0.074 | ||||
| Age (3 groups) | Under 75 | 101,763 | 1.11 | 1.05–1.18 | 0.006 | 64,001 | 1.14 | 1.06–1.23 | 37,762 | 1.07 | 0.97–1.18 | 0.291 | ||
| 75–84 | 94,049 | 1.24 | 1.16–1.32 | 49,711 | 1.21 | 1.11–1.32 | 44,338 | 1.27 | 1.16–1.38 | 0.469 | ||||
| 85+ | 124,494 | 1.26 | 1.19–1.33 | 44,744 | 1.16 | 1.06–1.27 | 79,750 | 1.31 | 1.23–1.40 | 0.033 | ||||
| Age (2 groups) | Under 75 | 101,763 | 1.11 | 1.05–1.18 | 0.002* | 64,001 | 1.14 | 1.06–1.23 | 37,762 | 1.07 | 0.97–1.18 | 0.291 | ||
| 75+ | 218,543 | 1.25 | 1.20–1.30 | 94,455 | 1.19 | 1.11–1.26 | 124,088 | 1.30 | 1.23–1.37 | 0.033 | ||||
| Marital status | Married | 129,561 | 1.12 | 1.06–1.18 | 0.002 | 91,853 | 1.13 | 1.06–1.20 | 37,708 | 1.10 | 1.00–1.22 | 0.728 | ||
| Single | 37,211 | 1.38 | 1.25–1.52 | 18,309 | 1.39 | 1.21–1.60 | 18,902 | 1.37 | 1.19–1.57 | 0.878 | ||||
| Widowed | 116,291 | 1.23 | 1.16–1.30 | 29,514 | 1.14 | 1.02–1.27 | 86,777 | 1.26 | 1.18–1.34 | 0.134 | ||||
| Divorced | 30,488 | 1.22 | 1.10–1.35 | 15,280 | 1.16 | 0.99–1.35 | 15,208 | 1.28 | 1.10–1.48 | 0.371 | ||||
| Education | Compulsory or less | 119,845 | 1.26 | 1.19–1.33 | 0.084 | 39,036 | 1.21 | 1.09–1.34 | 80,809 | 1.28 | 1.19–1.36 | 0.376 | ||
| Upper secondary | 144,958 | 1.19 | 1.13–1.25 | 79,519 | 1.17 | 1.09–1.25 | 65,439 | 1.21 | 1.12–1.30 | 0.540 | ||||
| Tertiary | 43,078 | 1.12 | 1.02–1.23 | 33,485 | 1.11 | 1.00–1.23 | 9,593 | 1.16 | 0.96–1.40 | 0.671 | ||||
| Socioeconomic positionb | Low | 70,797 | 1.25 | 1.16–1.35 | 0.465* | 36,546 | 1.20 | 1.08–1.33 | 34,251 | 1.31 | 1.17–1.46 | 0.266 | ||
| Medium | 179,534 | 1.19 | 1.13–1.24 | 88,629 | 1.13 | 1.06–1.20 | 90,905 | 1.24 | 1.17–1.32 | 0.033 | ||||
| High | 49,214 | 1.18 | 1.08–1.28 | 24,555 | 1.28 | 1.14–1.44 | 24,659 | 1.08 | 0.96–1.21 | 0.036 | ||||
| Nationality | Swiss | 246,820 | 1.20 | 1.16–1.25 | 0.493 | 118,864 | 1.15 | 1.09–1.22 | 127,956 | 1.25 | 1.19–1.32 | 0.032 | ||
| European | 18,757 | 1.30 | 1.14–1.49 | 11,768 | 1.28 | 1.08–1.52 | 6,989 | 1.34 | 1.08–1.67 | 0.716 | ||||
| Other nationality | 54,729 | 1.19 | 1.10–1.28 | 27,824 | 1.19 | 1.07–1.33 | 26,905 | 1.19 | 1.07–1.32 | 0.951 | ||||
| Building construction period | Before 1970 | 217,172 | 1.18 | 1.14–1.23 | 0.253 | 107,614 | 1.16 | 1.09–1.23 | 109,558 | 1.21 | 1.14–1.28 | 0.329 | ||
| 1970–1990 | 98,781 | 1.26 | 1.18–1.34 | 48,691 | 1.19 | 1.09–1.30 | 50,090 | 1.32 | 1.21–1.44 | 0.102 | ||||
| After 1990 | 1,320 | 1.26 | 0.76–2.12 | 615 | 1.18 | 0.56–2.51 | 705 | 1.17 | 0.57–2.43 | 0.990 | ||||
| Floor | Floor 0–2 | 151,282 | 1.16 | 1.10–1.22 | 0.872 | 73,198 | 1.17 | 1.08–1.26 | 78,084 | 1.15 | 1.07–1.23 | 0.727 | ||
| Floor 3–5 | 45,420 | 1.19 | 1.07–1.32 | 20,181 | 1.19 | 1.02–1.39 | 25,239 | 1.19 | 1.03–1.37 | 0.979 | ||||
| Floor 6+ | 23,047 | 1.13 | 0.91–1.40 | 9,582 | 1.01 | 0.75–1.38 | 13,465 | 1.26 | 0.93–1.72 | 0.322 | ||||
a Differences across categories within the total population (Ptotal) and in category-specific odds ratios between males and females (Pmale/Pfemale) were assessed using the Chi-squared test. Significant p-values of <0.05 are marked in bold.
b Socioeconomic position: low: 1st quintile, medium: 2nd–4th quintile, high: 5th quintile
*significant interaction with sex

Cumulative odds ratios (ORs) with 95% confidence intervals (CIs) of heat-related all-cause mortality at region- and period-specific (2003–2008 versus 2009–2016) extreme outdoor daily maximum temperatures (Tmax) in Switzerland. Extreme temperatures are defined as the 98th percentile of the region- and period-specific Tmax. The region with heat-health action plans (HHAPs) covers cantons that implemented HHAPs between 2003 and 2008.
Using individual mortality data from all of Switzerland, we assessed various crucial aspects of the prevention of heat-related mortality. In addition to all-cause mortality, extreme heat, defined as a Tmax of 33 °C, was strongly associated with specific diseases, including Alzheimer’s disease and dementia, COPD, diabetes, and myocardial infarction. Our analysis also suggests that maximum indoor temperatures above 24 °C have a significant effect on mortality. Older adults (≥75 years old) were at an increased risk of heat-related mortality, along with individuals who were not married and those with a low education level. In addition, a low socioeconomic position increased the risk for heat-related mortality in older women and men under 75 years old.
Our study provides further evidence that HHAPs help reduce heat-related mortality risk in regions with heat stress. In the cantons that implemented HHAPs between 2004 and 2008, the ORs of mortality associated with extreme heat were significantly lower in the more recent period (2009–2016). In the region without HHAPs, the risk reduction was considerably smaller and not statistically significant. In this region, public health measures to protect the population from the dangers of hot weather are lacking at the cantonal or city level or have been only partially introduced. Assessments of HHAPs at the city or country level in Europe and North America have also found that HHAPs lower the health burden of heatwaves, although a causal effect remains to be clearly established [38, 39]. Overall, the region without HHAPs was less affected by heat exposure than the Lake Geneva region and the canton of Ticino in the south of Switzerland. Therefore, Switzerland provides an example that in regions particularly affected by heat exposure and its associated mortality risks, joint action from different stakeholders helps protect the population from heat. Nevertheless, this ecological comparison of regions is limited in terms of causal inference. Our sensitivity analysis excluded the year 2003 and showed a less pronounced risk reduction between the two periods in the region where cantonal HHAPs were introduced. However, the analysis revealed no risk reduction in the region without HHAPs when the year 2003 was excluded. Therefore, it is likely that HHAPs have contributed to reducing heat-related mortality in the region with such measures in the more recent period.
In addition, we found that the less socioeconomically privileged population is at a high risk of heat-related mortality. Our effect modification analysis revealed that a low education level and a low neighbuorhood-based socioeconomic position are risk factors for heat-related mortality. The latter risk factor was most evident among older women and young men. Older women are generally considered more adversely affected by hot weather than men in the same age group. The reasons for the higher heat-related mortality risk among women are multifaceted; potential explanations include women’s higher life expectancy, their lower thermoregulation capacity, the increased risk of cardiovascular events in postmenopausal women, and other gender-related sociocultural factors [40]. Our results indicate that a low socioeconomic position can further increase the vulnerability of older women. Reducing the physical and social isolation of older women during heat events may minimise their susceptibility to high temperatures. In men under 75 years old, a lower socioeconomic position might increase the heat-related mortality risk for several reasons, including increased heat exposure at work and at home, more comorbidities, and personal behavioural factors, such as underestimating the health risks of extreme heat and not adhering to recommendations on how to behave during heat episodes [34]. Prevention strategies in recent years have targeted older adults. However, the prevention measures did not seem to effectively reach people with low socioeconomic positions. We found no significant difference in effect among the population with low socioeconomic position when comparing the two periods in the region with cantonal HHAPs. Therefore, our results suggest that future prevention efforts are needed to specifically target the less socioeconomically privileged population, including men under 75 years old. To reach this group, participatory approaches to developing targeted information and alert systems are recommended [15].
Surprisingly, similar to a recent study on heat-related cardiovascular mortality in the Zurich region, the odds of heat-related all-cause mortality were elevated among older men with a high neighbourhood-based socioeconomic position [34]. Although we cannot fully explain this finding, the potentially longer life expectancy of more socioeconomically privileged men could play a role. In our study population, however, the mean age among men aged 75 and older with low (85 years) and high socioeconomic position (86 years) was similar.
Our results illustrate that several disease systems are sensitive to heat. These findings show that it is crucial to intensify the care of patients with chronic respiratory diseases such as COPD, Alzheimer’s disease and dementia, diabetes and certain cardiovascular health problems during heat episodes. Different mechanisms may be at play. For cardiovascular diseases, we found significant associations with stroke, ischaemic heart disease, and myocardial infarction, similar to previous investigations on heat-related cardiovascular mortality [27, 34, 41, 42]. Biological mechanisms to regulate the body temperature cause a redistribution of the blood flow away from core organs, an increased heart rate, and organ oxygen demand. This elevates cardiovascular strain and may explain the elevated likelihood of acute coronary events during heat episodes [6]. The increased mortality risk for hypertensive diseases during hot weather seems counterintuitive, as exposure to heat leads to reduced blood pressure and peripheral vasodilatation. It is plausible that the elevated heat-related mortality risk in patients with chronic hypertension is attributable to an inadequate dose reduction of anti-hypertensive medication [43].
We found a particularly strong association between high temperatures and mortality from Alzheimer’s disease and dementia, especially at ambient temperatures above 30 °C. People with dementia, specifically Alzheimer’s disease, should thus be considered a high-risk group during hot weather. Patients with Alzheimer’s disease and dementia may have a higher risk of heat-related mortality because of their limited ability to recognise and alleviate heat stress. In addition, some of their medications reduce thermoregulation capacity (e.g. neuroleptics). The high heat-related mortality risk associated with Alzheimer’s disease and dementia may also be related to the age of the patients. In our study population, the average age of individuals with this main death cause was 87 years. In addition, previous studies reported that a low income is an additional risk factor for heat-related mortality in patients with Alzheimer’s disease and dementia [44, 45].
A growing number of national and international studies have reported that heat can affect external causes of death, such as accidents and suicides [27, 46, 47]. It remains unclear whether these causes of death are causally related to heat or rather to good weather conditions favouring risky activities. Strikingly, heat-mortality associations tend to be more linear for external death causes compared with other outcomes, which suggests that causal explanations other than heat may be involved.
Ensuring comfortable indoor temperatures is essential for preventing the exacerbation of symptoms of at-risk groups, which often spend most of their time indoors. The associations found between indoor temperature and mortality in our study reflected the association with outdoor temperature. The high correlation between indoor Tmax and outdoor Tmax and the rarity of air conditioning in residential buildings in Switzerland likely explain this finding. Nonetheless, periods of prolonged heat and certain building characteristics can considerably reduce thermal comfort in indoor environments [19, 20]. For Alzheimer’s disease and dementia as well as respiratory diseases, we found a strong increase in mortality risk at high indoor temperatures. The exacerbation of respiratory symptoms with increasing indoor temperatures has been reported in case studies; one study reported increased respiratory emergency distress calls at indoor temperatures above 26 °C in New York during summer 2013 [21]. Others described adverse effects of high indoor temperatures on diabetes management, schizophrenia, and dementia symptoms without reporting exposure-response functions [20]. Considering climate change, the public health sector must work with other relevant stakeholders (e.g. architects and city planners) to prevent indoor overheating. Our analysis of heat-related mortality suggests that indoor temperatures above 24 °C are associated with a significantly increased mortality risk. The temperature threshold for health-supporting indoor environments may be higher for the young and healthy population. Further studies assessing the indoor temperature threshold above which adverse effects become stronger and more frequent are warranted.
This is the first case-crossover study assessing cause-specific heat-related mortality risk and individual effect modifiers of extreme heat using individual death records from all of Switzerland. The strength of this study is that we assigned the temperature exposure at the address of each deceased person using daily temperature data with a high spatial resolution. Therefore, our study likely provides less biased and more precise effect estimates than most time-series studies using aggregated numbers of daily deaths and exposure data from central monitoring stations or temperature models with coarser spatial resolutions. Moreover, to our knowledge, this is the first study to examine both outdoor and indoor temperature relationships with various causes of mortality.
Several limitations must be acknowledged. Some exposure misclassification of outdoor and indoor temperature exposure is expected, as we only assigned daily temperature levels at the residential address and ignored exposure away from home. Given that most of the study population was ≥75 years old and we considered 7 days of exposure before death, it is likely that the study population spent most of their time at home. Additionally, indoor temperature estimates have some uncertainty because of assumptions about the input variables and the simplified thermal building model used. Further analyses exploring the association between mortality and indoor temperature with more detailed information on the residential building, occupancy/ventilation behaviour, and time spent indoors are warranted. Another limitation is that we did not consider other potential environmental risk factors, such as air pollution. During periods of hot weather, ozone levels tend to be high and may increase the health risks of heat. However, previous studies have found that the acute effect of ozone on mortality is relatively small [48, 49]. Moreover, because temperature is a contributory cause of the formation of ozone with no reverse causal effect, we consider it legitimate to ignore the effects of temperature on mortality mediated by ozone.
This study provides important information for planning targeted and effective measures to reduce the health risks of heat in Switzerland. It adds to the growing literature showing a positive effect of coordinated measures such as HHAPs in reducing the health burden of heat, especially in regions with heat stress. However, our results suggest that HHAPs must better address the less socioeconomically privileged population, particularly men under 75 years old. Additionally, future prevention efforts should focus specifically on patients with Alzheimer’s and dementia, diabetes, and COPD. Due to rising temperatures, coordinated measures between stakeholders to reduce vulnerability to heat are becoming increasingly important, and such measures should be extended to other regions in Switzerland.
The SNC data cannot be shared by the authors. The data are the responsibility of the Federal Statistical Office, and may be ordered here: https://www.bfs.admin.ch/bfs/en/home/statistics/population/surveys/snc.html. The R code is available upon request from the corresponding author.
We thank the Swiss Federal Statistical Office for providing mortality and census data and the support that made the Swiss National Cohort and this study possible. The members of the Swiss National Cohort Scientific Board are M. Zwahlen (University of Berne), M. Egger (University of Berne), V. von Wyl (University of Zurich), O. Hämmig (University of Zurich), M. Bochud (University of Lausanne), M. Röösli (University of Basel), and M. Schwyn (Federal Statistical Office). We thank Christian Schindler for the statistical support.
This work was supported by the Swiss Federal Office of Public Health (grant number 3727) and the cantonal health departments of Vaud and Ticino, as well as the Swiss Federal Office of Energy and the Swiss Federal Office of the Environment (grant numbers SI/501971-01 and 19.0092.PJ).
All authors have completed and submitted the International Committee of Medical Journal Editors form for disclosure of potential conflicts of interest. No potential conflict of interest related to the content of this manuscript was disclosed.
1. Federal Office for the Environment FOEN. Climate-related risks and opportunities. A synthesis for Switzerland – short version. Extended summary of the publication "Klimabedingte Risiken und Chancen. Eine schweizweite Synthese" www.bafu.admin.ch/uw-1706-d. Bern: Federal Office for the Environment FOEN, 2018.
2. NCCS. CH2018 - Climate Scenarios for Switzerland. Zurich: National Centre for Climate Services (NCCS), 2018.
3. Gasparrini A, Guo Y, Hashizume M, Lavigne E, Zanobetti A, Schwartz J, et al. Mortality risk attributable to high and low ambient temperature: a multicountry observational study. Lancet. 2015 Jul;386(9991):369–75.
4. Song X, Wang S, Hu Y, Yue M, Zhang T, Liu Y, et al. Impact of ambient temperature on morbidity and mortality: an overview of reviews. Sci Total Environ. 2017 May;586:241–54.
5. Ragettli MS, Vicedo-Cabrera AM, Flückiger B, Röösli M. Impact of the warm summer 2015 on emergency hospital admissions in Switzerland. Environ Health. 2019 Aug;18(1):66.
6. Ebi KL, Capon A, Berry P, Broderick C, de Dear R, Havenith G, et al. Hot weather and heat extremes: health risks. Lancet. 2021 Aug;398(10301):698–708.
7. Romanello M, Di Napoli C, Drummond P, Green C, Kennard H, Lampard P, et al. The 2022 report of the Lancet Countdown on health and climate change: health at the mercy of fossil fuels. Lancet. 2022 Nov;400(10363):1619–54. doi: https://doi.org/10.1016/S0140-6736(22)01540-9
8. Ragettli MS, Röösli M. Die Bedeutung von Präventionsmassnahmen. Hitzebedingte Sterblichkeit im Sommer 2019. Prim Hosp Care. 2021;21(03):90–5.
9. Vicedo-Cabrera AM, Ragettli MS, Schindler C, Röösli M. Excess mortality during the warm summer of 2015 in Switzerland. Swiss Med Wkly. 2016;146:w14379-w. doi: .
10. Ragettli MS, Saucy A, Flückiger B, Vienneau D, de Hoogh K, Vicedo-Cabrera AM, et al. Explorative Assessment of the Temperature-Mortality Association to Support Health-Based Heat-Warning Thresholds: A National Case-Crossover Study in Switzerland. Int J Environ Res Public Health. 2023 Mar;20(6):4958.
11. Vicedo-Cabrera AM, de Schrijver E, Schumacher DL, Ragettli MS, Fischer EM, Seneviratne SI. The footprint of human-induced climate change on heat-related deaths in the summer of 2022 in Switzerland. Environ Res Lett. 2023 Jul;18(7):074037.
12. Vicedo-Cabrera AM, Scovronick N, Sera F, Royé D, Schneider R, Tobias A, et al. The burden of heat-related mortality attributable to recent human-induced climate change. Nat Clim Chang. 2021 Jun;11(6):492–500.
13. Robine JM, Cheung SL, Le Roy S, Van Oyen H, Griffiths C, Michel JP, et al. Death toll exceeded 70,000 in Europe during the summer of 2003. C R Biol. 2008 Feb;331(2):171–8.
14. Grize L, Huss A, Thommen O, Schindler C, Braun-Fahrländer C. Heat wave 2003 and mortality in Switzerland. Swiss Med Wkly. 2005 Apr;135(13-14):200–5.
15. Martinez GS, Kendrovski V, Salazar MA, de’Donato F, Boeckmann M. Heat-health action planning in the WHO European Region: status and policy implications. Environ Res. 2022 Nov;214(Pt 1):113709.
16. Kotharkar R, Ghosh A. Progress in extreme heat management and warning systems: A systematic review of heat-health action plans (1995-2020). Sustain Cities Soc. 2022;76:103487.
17. Ragettli MS, Röösli M. [Heat-health action plans to prevent heat-related deaths-experiences from Switzerland]. Bundesgesundheitsblatt Gesundheitsforschung Gesundheitsschutz. 2019 May;62(5):605–11.
18. Federal Office for the Environment FOEN. (2019). Hitze und Trockenheit im Sommer 2018. Auswirkungen auf Mensch und Umwelt: Umwelt-Zustand Nr. 1909. Bern, Federal Office for the Environment FOEN (FOEN) 1-91. [cited July 10, 2024]. Available from: https://www.nccs.admin.ch/dam/nccs/de/dokumente/website/sektoren/gesundheit/bafu-hitze-und-trockenheit-im-sommer-2018.pdf.download.pdf/Hitze%20und%20Trockenheit%20im%20Sommer%202018%20(BAFU,%202019)%20.pdf
19. Murage P, Kovats S, Sarran C, Taylor J, McInnes R, Hajat S. What individual and neighbourhood-level factors increase the risk of heat-related mortality? A case-crossover study of over 185,000 deaths in London using high-resolution climate datasets. Environ Int. 2020 Jan;134:105292.
20. Tham S, Thompson R, Landeg O, Murray KA, Waite T. Indoor temperature and health: a global systematic review. Public Health. 2020 Feb;179:9–17.
21. Uejio CK, Tamerius JD, Vredenburg J, Asaeda G, Isaacs DA, Braun J, et al. Summer indoor heat exposure and respiratory and cardiovascular distress calls in New York City, NY, U.S. Indoor Air. 2016 Aug;26(4):594–604.
22. WHO Regional Office for Europe. Heat and health in the WHO European Region: updated evidence for effective prevention. Copenhagen: Word Health Organization (WHO). Europe. 2021.
23. Hasan F, Marsia S, Patel K, Agrawal P, Razzak JA. Effective community-based interventions for the prevention and management of heat-related illnesses: a scoping review. Int J Environ Res Public Health. 2021 Aug;18(16):8362.
24. Spoerri A, Zwahlen M, Egger M, Bopp M. The Swiss National Cohort: a unique database for national and international researchers. Int J Public Health. 2010 Aug;55(4):239–42.
25. Bopp M, Spoerri A, Zwahlen M, Gutzwiller F, Paccaud F, Braun-Fahrländer C, et al. Cohort Profile: the Swiss National Cohort—a longitudinal study of 6.8 million people. Int J Epidemiol. 2009 Apr;38(2):379–84.
26. Panczak R, Galobardes B, Voorpostel M, Spoerri A, Zwahlen M, Egger M; Swiss National Cohort and Swiss Household Panel. A Swiss neighbourhood index of socioeconomic position: development and association with mortality. J Epidemiol Community Health. 2012 Dec;66(12):1129–36.
27. Ma Y, Zhou L, Chen K. Burden of cause-specific mortality attributable to heat and cold: A multicity time-series study in Jiangsu Province, China. Environ Int. 2020 Nov;144:105994.
28. Flückiger B, Kloog I, Ragettli MS, Eeftens M, Röösli M, de Hoogh K. Modelling daily air temperature at a fine spatial resolution dealing with challenging meteorological phenomena and topography in Switzerland. Int J Climatol. 2022;42(12):1–16.
29. Ragettli MS, Vicedo-Cabrera AM, Schindler C, Röösli M. Exploring the association between heat and mortality in Switzerland between 1995 and 2013. Environ Res. 2017 Oct;158:703–9.
30. Koschenz M, Domingo-Irigoyen S, Niffeler M, Ragettli MS, Flückiger B, Kafadar M, et al. ResCool: Klimaanpassung von Neu-, Um-und bestehenden Wohnbauten – effiziente Kühlkonzepte. 2021 https://www.aramis.admin.ch/Default?DocumentID=68310&Load=true
31. Maclure M. The case-crossover design: a method for studying transient effects on the risk of acute events. Am J Epidemiol. 1991 Jan;133(2):144–53.
32. Janes H, Sheppard L, Lumley T. Case-crossover analyses of air pollution exposure data: referent selection strategies and their implications for bias. Epidemiology. 2005 Nov;16(6):717–26.
33. Gasparrini A. Distributed lag linear and non-linear models in R: the package dlnm. J Stat Softw. 2011 Jul;43(8):1–20. doi: https://doi.org/10.18637/jss.v043.i08
34. Saucy A, Ragettli MS, Vienneau D, de Hoogh K, Tangermann L, Schäffer B, et al. The role of extreme temperature in cause-specific acute cardiovascular mortality in Switzerland: A case-crossover study. Sci Total Environ. 2021 Oct;790(147958):147958.
35. Gasparrini A, Guo Y, Hashizume M, Kinney PL, Petkova EP, Lavigne E, et al. Temporal variation in heat–mortality associations: a multicountry study. Environ Health Perspect. 2015 Nov;123(11):1200–7.
36. Tobías A, Hashizume M, Honda Y, Sera F, Ng CF, Kim Y, et al. Geographical variations of the minimum mortality temperature at a global scale: A multicountry study. Environ Epidemiol. 2021 Sep;5(5):e169. doi: https://doi.org/10.1097/EE9.0000000000000169
37. Gasparrini A. Extensions of the dlnm package: The Comprehensive R Archive Network; 2021 [cited 20 June]. Available from: https://cran.r-project.org/web/packages/dlnm/vignettes/dlnmExtended.pdf
38. Martinez GS, Linares C, Ayuso A, Kendrovski V, Boeckmann M, Diaz J. Heat-health action plans in Europe: challenges ahead and how to tackle them. Environ Res. 2019 Sep;176:108548.
39. Benmarhnia T, Bailey Z, Kaiser D, Auger N, King N, Kaufman JS. A difference-in-differences approach to assess the effect of a heat action plan on heat-related mortality, and differences in effectiveness according to sex, age, and socioeconomic status (Montreal, Quebec). Environ Health Perspect. 2016 Nov;124(11):1694–9.
40. van Steen Y, Ntarladima AM, Grobbee R, Karssenberg D, Vaartjes I. Sex differences in mortality after heat waves: are elderly women at higher risk? Int Arch Occup Environ Health. 2019 Jan;92(1):37–48.
41. Khraishah H, Alahmad B, Ostergard RL Jr, AlAshqar A, Albaghdadi M, Vellanki N, et al. Climate change and cardiovascular disease: implications for global health. Nat Rev Cardiol. 2022 Dec;19(12):798–812.
42. Alahmad B, Khraishah H, Royé D, Vicedo-Cabrera AM, Guo Y, Papatheodorou SI, et al. Associations Between Extreme Temperatures and Cardiovascular Cause-Specific Mortality: Results From 27 Countries. Circulation. 2023 Jan;147(1):35–46. doi: https://doi.org/10.1161/CIRCULATIONAHA.122.061832
43. Schulte F, Röösli M, Ragettli MS. Heat-related cardiovascular morbidity and mortality in Switzerland: a clinical perspective. Swiss Med Wkly. 2021 Sep;151(3738):w30013.
44. Xu Z, Tong S, Cheng J, Zhang Y, Wang N, Zhang Y, et al. Heatwaves, hospitalizations for Alzheimer’s disease, and postdischarge deaths: A population-based cohort study. Environ Res. 2019 Nov;178:108714.
45. Gong J, Part C, Hajat S. Current and future burdens of heat-related dementia hospital admissions in England. Environ Int. 2022 Jan;159:107027.
46. Bär S, Bundo M, de Schrijver E, Müller TJ, Vicedo-Cabrera AM. Suicides and ambient temperature in Switzerland: A nationwide time-series analysis. Swiss Med Wkly. 2022 Mar;152(910 w30115):w30115. doi: https://doi.org/10.4414/SMW.2022.w30115
47. Kim Y, Kim H, Gasparrini A, Armstrong B, Honda Y, Chung Y, et al. Suicide and ambient temperature: a multi-country multi-city study. Environ Health Perspect. 2019 Nov;127(11):117007.
48. Vicedo-Cabrera AM, Sera F, Liu C, Armstrong B, Milojevic A, Guo Y, et al. Short term association between ozone and mortality: global two stage time series study in 406 locations in 20 countries. BMJ. 2020 Feb;368:m108.
49. Buckley JP, Samet JM, Richardson DB. Commentary: does air pollution confound studies of temperature? Epidemiology. 2014 Mar;25(2):242–5. doi: https://doi.org/10.1097/EDE.0000000000000051
The appendix is available in the pdf version of the article at https://doi.org/10.57187/s.3418.