DOI: https://doi.org/10.4414/smw.2017.14506
Raynaud’s phenomenon (Rp) is a common condition characterised by episodic reversible vasospasm of the extremities on exposure to cold or emotional stress [1]. It is closely related to climatic conditions [2], and its prevalence varies between studies [3, 4]; for example, in the North America, the prevalence is 4 to 9% among women and 3 to 6% among men, whereas in Europe it is 2 to 21% [5–7].
Primary Rp (pRp) is generally a benign condition characterised by functional changes in blood vessels and/or their innervation in patients without autoantibodies and normal nail-fold capillaries. Although by definition pRp should not progress to an overt connective tissue disease (CTD), some population-based studies suggest that secondary Rp (sRp) develops in 12 to 20% of subjects first diagnosed with pRp [1, 8, 9].
Secondary Rp develops in the context of an associated disorder or condition, including many nonrheumatic conditions (e.g., the use of vibratory tools, some compounds, neoplasms), and rheumatic diseases (e.g., CTDs) [10]. In relation to CTDs, Rp may be either a concomitant symptom that accompanies other more specific clinical manifestations or an early symptom of a developing CTD [1].
Many studies have investigated the risk of transition from pRp to sRp and the role of different factors used during the Rp screening phase (history, examination, investigations) in predicting evolution toward CTDs among various populations [5, 9, 11–16].
In 1998, Spencer-Green [9] published a meta-analysis of 10 studies (639 pRp patients) that evaluated transition rates and predictors of transition to CTD. The transition rate found (3.2 transitions per 100 patient-years of follow-up) was low, especially in consideration of the time from Rp onset (1.4 per 100 patient-years). Abnormal nail-fold capillaries at study entry, even when associated with positive antinuclear antibody (ANA) tests, was the chief predictor of evolution to CTDs [9].
In recent years, significant efforts have been made to achieve an early diagnosis of CTDs and new classification criteria have been released [17, 18].
The present systematic review and meta-analysis aimed to add new evidence to the previous work by Spencer-Green [9], supposing that the most recent literature could provide a more accurate estimation of clinical outcomes and risk factors for transitions to sRp.
The reporting of the study was guided by the MOOSE Statement [19]. A comprehensive systematic literature search was undertaken, which included studies published between July 1996 and August 2014, and an updated search was carried out in May 2016 to capture newly published studies. The databases used were Medline (via PubMed) and Embase. The search strategy was intended to uncover all relevant papers reporting on an adult population with Rp and dealing with any aspect of transition to overt CTDs, such as incidence and risk factors. The full search strategy is provided in supplementary table S1 (appendix 1). During the first analysis, two reviewers (F.I., C.T.) independently screened titles/abstracts and the full papers were sought if relevant. Any duplicate articles were excluded. Reference lists of review articles were also examined for relevant studies. In cases of disagreement, a decision was reached by consensus or, if necessary, a third reviewer (N.U.) was consulted.
Study selection was by N.U. and C.C. To be eligible, studies needed to meet the following criteria: adult participants (>16 years old) with Rp classified as primary or secondary; longitudinal observational studies (prospective or retrospective) and case-control studies were considered suitable in scope of review; studies reporting the incidence of transition of Rp to CTDs and/or potential risk factors; studies with a detailed description of parameters used to define and classify Rp; studies with at least the abstract in English.
Exclusion criteria were: studies assessing treatment of Rp; studies involving patients with a clear definition of secondary Rp; studies not reporting the criteria for diagnosing a CTD; studies assessing occupational Rp; unpublished material, case reports, editorials, letters or reviews. Where different articles of the same author appeared to describe same patients more than once, only the article providing the most detailed information on the patients was included.
Data extraction from each article was by N.U. and C.C. An independent reviewer (F.I.) ensured the quality of data extraction. Data concerning study design, country, age range, gender ratio and total number of participants, exposure to ANAs, capillaroscopy, and development of a CTD were collected in ad hoc forms. If the same study population was reported in more than one article, we used the article with data most clearly presented. Where possible, the raw outcomes were extracted (primary outcome: number of persons developing an overt CTD) for each group (exposed to ANAs and/or abnormal capillaroscopy vs not exposed) and the effect estimates were calculated. Where data retrieval from the articles was difficult, the authors were contacted by email.
To assess the methodological quality of nonrandomised observational studies, we used the Newcastle-Ottawa scale (NOS) recommended by the Cochrane Collaboration. According to the NOS [20, 21], a study can be awarded a maximum of one point for each numbered item within the “selection” and “outcome” categories (four and three items, respectively); a maximum of two points can be given for comparability (one item). The quality of the included studies was independently evaluated by N.U. and C.C. and rated by consensus. Studies were considered of good quality if the total score was ≥5. No studies were excluded from data analysis on the basis of the quality score grading.
Patients with Rp were categorised into two distinct clinical entities: (1) patients with pRp defined according to the Leroy and Medsger criteria (i.e., no history or physical findings suggestive of a secondary cause, normal capillaroscopy, negative serological findings) [22]; (2) patients with Rp associated with ANAs and/or abnormal capillaroscopy, even if associated with symptoms or physical findings suggestive of a secondary cause, but without fulfilling criteria for a definite CTD.
Up to now, the latter condition has been variously defined and there is no consensus among experts. In our analysis, we refer to it as “suspected secondary Rp” (ssRp). Patients fulfilling the definition of pRp and ssRp were analysed separately for transition rates.
We were aware that the ssRp group could be heterogeneous in terms of prognosis, so we decided to split the analysis on risk of transition according to the following three subgroups: (1) patients with ANAs positive without capillaroscopy abnormalities (Rp with immune signature); (2) patients with ANAs negative with capillaroscopy abnormalities (Rp with vascular signature); (3) patients with ANAs positive and abnormalities on capillaroscopy (Rp with immune and vascular signatures).
As capillaroscopy abnormalities, we considered findings such as giant capillaries, decrease in the capillary number, capillary derangement and microhaemorrhages, which are required for the definition of “scleroderma pattern” in accordance with the description reported either by Maricq [23] or by Cutolo [24].
Individual data to calculate the incidence of transition were derived from the original reports from the information provided in each study. Cumulative incidences and 95% confidence intervals (CIs) were transformed into incidence rate data (incidence per 100 person-years). Relative risks (RR) and 95% CIs were calculated to present the association between risk factors (ANA positivity and capillaroscopy abnormalities) and transition to CTD. The presence of statistical heterogeneity was evaluated with the chi-squared test and a p-value <0.1 was considered significant; inconsistency across studies was quantified as the I2 statistic, where a value >50% was considered to indicate substantial heterogeneity. A Mantel-Haenszel random-effects model for dichotomous variables was used to pool the data into a meta-analysis.
All statistical analyses were carried out using Stata V.13.0; RevMan and Comprehensive meta-analysis software were used to pool data on RR and incidence rates, respectively.
In total, 856 references were retrieved in the initial search strategy in PubMed and Embase. Of these, 826 were excluded as duplicates or after title/abstract screening. Thirty articles were retrieved for full paper review, of which seven fulfilled the inclusion criteria [5, 11–16]. The review flow process is outlined in fig. 1.

Figure 1 Flow diagram of the systematic review process.
The included studies are listed in table 1, with a description of the study design, population, setting and diagnosis at baseline [5, 11–16], as well as NOS quality ratings.
Table 1 Characteristics of the seven studies included and the quality of evidence assessment.
| Source | Characteristics | Quality of evidence assessment with NOS | ||||||
|---|---|---|---|---|---|---|---|---|
| Study design | Total no. of participants and diagnosis |
Male/
female |
Setting, country | Selection | Comparability | Outcome | Overall | |
| De Angelis 2003 [11] | Cohort, prospective | 20 pRp and ssRp |
6/14 | Hospital, Italy | 4 | 0 | 1 | 5 |
| Hirschl 2006 [5] | Cohort, prospective | 282 pRp and ssRp |
61/221 | Hospital, Austria | 4 | 2 | 3 | 9 |
| Koenig 2008 [14] | Cohort, prospective | 586 pRp and ssRp |
---* | Hospital, Canada | 4 | 2 | 2 | 8 |
| Ingegnoli 2010 [12] | Cohort, retrospective | 288 pRp and ssRp |
33/255 | Hospital, Italy | 4 | 0 | 1 | 5 |
| Pavlov- Dolijanovic 2012 [15] | Cohort, retrospective | 3029 pRp | 333/2696 | Hospital, Serbia | 2 | 0 | 2 | 4 |
| Bernero 2013 [16] | Cohort, prospective | 412 pRp | -- | Hospital, Italy | 4 | 0 | 2 | 6 |
| Valentini 2014 [13] | Cohort, prospective | 60 ssRp | 4/56 | Hospital, Italy | 3 | 2 | 2 | 7 |
*referred to the overall population pRp: primary Raynaud’s phenomenon; ssRp: suspected secondary Raynaud’s phenomenon; NOS: Newcastle-Ottawa scale. A study can be awarded a maximum of one point for each numbered item within the Selection and Outcome categories (maximum four and three points, respectively). A maximum of two points can be given for Comparability. The overall score ranges from 0 to 9. Quality scale does not imply that items are of equal relevant importance.
Among the seven studies included, two analysed cohorts of patients with pRp, one included only patients with ssRp, and four reported data about both groups of patients. No case-control studies satisfied the inclusion criteria for this meta-analysis.
As shown in table 2A, a total of 4051 unique patients with pRp were included in six studies. Three articles [5, 12, 15] reported information about gender (3394 patients, 88.1% were women); five studies [5, 11, 12, 15, 16] provided data about the age at baseline (mean 43.1 years, range 39.8–47.0 years); four articles [5, 11, 15, 16] reported the average age at onset of Rp (3712 patients, mean 34.1 years, range 28.5–38.1 years) and the average of pRp duration (3712 patients, mean 8.0 years, range 5.3–11.6 years).
Table 2 Summary of findings on primary Raynaud’s phenomenon (A) and on suspected secondary Raynaud’s phenomenon (B).
| (A) Primary Raynaud’s phenomenon (I2 99.5%, tau2 9.828) | ||||||||
|---|---|---|---|---|---|---|---|---|
| Source | No. patients |
Average follow-up
(person years) |
Average age at onset of Rp (years) |
Average age at baseline
(years) |
No. of
transitions to overt CTD |
No. of transition to overt SSc |
Incidence
rate to overt CTD (per 100 person-years) |
Incidence rate to overt SSc
(per 100 person-years) |
| Pavlov-Dolijanovic 2012 [15] | 3029 | 14 539 | 38.1 | 43.4 | 1123 | 263 | 7.72 | 1.809 |
| Ingegnoli 2010 [12] | 129 | 302 | -- | 47.0 | 10 | 1 | 3.31 | 0.331 |
| Koenig 2008 [14] | 210 | 840 | -- | --- | 0 | 0 | 0.06 | 0.056 |
| De Angelis 2003 [11] |
35 | 105 | 33.9 | 39.8 | 0 | 0 | 0.32 | 0.323 |
| Hircshl 2006 [5] | 236 | 2643 | 28.5 | 40.2 | 19 | 5 | 0.72 | 0.189 |
| Bernero 2013 [16] | 412 | 1813 | 36 | 45 | 68 | 52 | 3.75 | 2.870 |
| Total/mean | 4051 | 20 242 | 34.1 | 43.1 | 1220 | 321 | 6.02 | 1.58 |
| (B) Suspected secondary Raynaud’s phenomenon (I2 92%, tau2 40.096) | ||||||||
| Valentini 2014 [13] | 60 | 180 | 34.5 | 37.5 | 21 | 21 | 11.667 | 11.667 |
| Ingegnoli 2010 [12] | 159 | 253 | -- | 48.3 | 66 | 33 | 26.087 | 13.043 |
| Koenig 2008 [14] | 376 | 1654 | -- | -- | 80 | 74 | 4.837 | 4.474 |
| De Angelis 2003 [11] | 16 | 48 | 37.6 | 43.4 | 2 | 2 | 4.167 | 4.167 |
| Hirschl 2006 [5] | 46 | 230 | 39.0 | 47.2 | 19 | 5 | 8.261 | 2.174 |
| Total/mean | 657 | 2365 | 37 | 44.1 | 188 | 135 | 7.94 | 5.70 |
CTD = connective tissue disease
As shown in table 2B, among five studies [5, 11–14] with 657 ssRp patients, four [5, 11–13] provided information about gender (281 patients, 89.0% were women) and age at the time of study entry (281 patients, median 44.1 years, range 37.5–48.3 years); three articles [5, 11, 13] reported the average age at onset of Rp (122 patients, mean 37.0 years, range 34.5–39.0 years) and in these patients Rp had been present for a mean of 5.7 years (range, 3.0–8.2 years) before study entry. The effects of age and sex on transition to a CTD were not analysed owing to the lack of data.
Clinical and laboratory variables were remarkably heterogeneous, including at the baseline evaluation, and the identification of precise clinical predictors of transition was limited. However, in all the seven studies (4708 unique participants), ANAs were measured and nail-fold capillaroscopy was performed. Five studies provided information about ANA assessment by use of either an indirect immunofluorescence (IFI) test on Hep-2 cells [5, 12, 14, 15] or by both IFI and the enzyme-linked immunosorbent assay [11]; in six studies [5, 11–14, 16], nail-fold capillary abnormalities were defined as proposed in the definitions of scleroderma patterns in accordance with Maricq [23] or Cutolo [24].
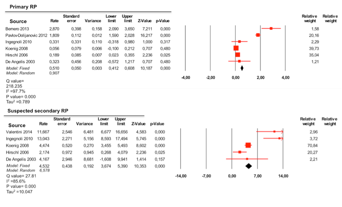
A total 4051 pRp patients with a cumulative mean follow-up of 20 242 person-years (mean follow-up 5.0, range 2.3–11.2 years) were included; 1220 (30.1%) transitions to an overt CTD were recorded, giving a cumulative incidence rate of 6.02 per 100 person-years (table 2A). The mean incidence rate of transition from pRp to a CTD was 2.65 per 100 person-years (standard error [SE] 1.2, 95% CI 0.44–5.73). The higher transition rate was reported in 2012 by Pavlov-Dolijanovic [15] (7.7 per 100 person-years), and the lowest (no transitions) by De Angelis [11] and Koenig [14].
Among pRp patients, 321 (73.7%) developed systemic sclerosis (SSc), a cumulative incidence rate of 1.58 per 100 person-years, ranging from 2.87 [16] to 0.06 [14] per100 person years (supplementary fig. S1 and table S2 in appendix 1). The mean incidence rate of transition from pRP to SSc was 0.93 per 100 person-years (SE 0.47, 95% CI: 0.27–2.13).
A total of 383 (31.4%) patients developed undifferentiated connective tissue disease, 145 (11.9%) systemic lupus erythematosus (SLE), 104 (8.5%) Sjögren's syndrome, 115 (9.4%) rheumatoid arthritis, 61 (5%) overlap syndromes, 30 (2.5%) mixed connective tissue disease, 30 (2.5%) systemic vasculitis, 26 (2.1%) poly/dermatomyositis, 5 (0.4%) antiphospholipid syndrome (fig. S2).
Because of the great heterogeneity among studies regarding sample size, follow-up duration and outcomes, data on transition rates were not meta-analysed.
Five studies included 657 ssRp patients with a cumulative mean follow-up of 2365 person-years (mean follow-up 3.6, range 1.6–5.0 years); 188 (28.6%) transitions to a CTD were recorded, giving a cumulative incidence rate of 7.94 per 100 person-years (table 2B). The mean incidence rate of transition from ssRp to a CTD was 11.01 per 100 person-years (SE 4.0, 95% CI 0.11–22.12). Ingegnoli [12] recorded the highest transition rate to CTDs (26.09 per 100 person-years), and De Angelis [11] the lowest (4.17 per 100 person-years).
Among these transitions, 135 (71.8%) were to SSc, a cumulative incidence rate of 5.70 per 100 person-years (range 2.17–13.04) (supplementary fig. S1 in appendix 1 and table 2B). The mean incidence rate from ssRP to SSc was 7.10 per 100 person-years (SE 2.19, 95% CI 1.02–13.19).
Six (3.2%) patients developed mixed connective tissue disease, 7 (3.7%) SLE, 2 (1.1%) Sjögren's syndrome, 13 (6.9%) rheumatoid arthritis, 22 (11.7%) undifferentiated connective tissue disease, 3 (1.6%) poly/dermatomyositis; none developed overlap syndromes, antiphospholipid syndrome or systemic vasculitis (fig. S2).
Because of the great heterogeneity among studies regarding sample size, follow-up duration and outcomes, data on transition rates were not meta-analysed.
All the studies identified ANAs and nail-fold capillary abnormalities as predictors of transition to a CTD. In particular (fig. 2A), compared with the patients with pRp (ANAs negative and normal capillaries), having either positive ANAs without capillary abnormalities (immune signature) or capillary abnormalities with negative ANAs (vascular signature) indicated a great risk of developing a CTD: pooled RR 7.63, 95% CI 2.87–20.29, and pooled RR 5.53, 95% CI 1.45–21.06, respectively. The coexistence of ANAs and abnormal capillaries (immune and vascular signature) significantly increased the risk of transition to a CTD (RR 16.96, 95% CI 6.61–43.55). However, there was substantial heterogeneity among studies for this outcome.

Figure 2A Predictors of transition to connective tissue diseases in patients with Raynaud’s phenomenon with immune signature.
Having ANAs positive without capillary abnormalities (immune signature) indicated a substantial risk of developing SSc (pooled RR 13.23, 95% CI 4.72–37.06), as did the presence of capillary abnormalities without ANAs (RR 11.81, 95% CI 4.07–34.25) (vascular signature). The coexistence of ANAs and abnormal nail-fold capillaries (immune and vascular signature) significantly increased the risk of transition to SSc (RR 40.45, 95% CI 14.02–116.77). For this outcome, the included studies showed no significant heterogeneity (figs 2B and 2C ).

Figure 2B Predictors of transition to connective tissue diseases in patients with Raynaud’s phenomenon with vascular signature.

Figure 2C Predictors of transition to connective tissue diseases in patients with Raynaud’s phenomenon with immune and vascular signature.
ANA positivity without capillary abnormalities (immune signature) was associated with a risk of developing CTDs other than SSc (pooled RR 4.18, 95% CI 1.93–9.06), as did the presence of capillary abnormalities without ANAs (RR 3.42, 95% CI 1.50–7.81) (vascular signature); coexistence of ANAs and capillary abnormalities (immune and vascular signature) significantly increased the risk of transition to a non-SSc CTD (RR 4.60, 95% CI 1.37–15.44).
The present systematic review and meta-analysis was planned to add new evidence to the previous work by Spencer-Green published in 1998 [9]. According to Spencer-Green, a patient presenting only with Rp, without signs suggestive for a CTD, could be reassured: this condition is likely to have a benign course. Overall, 4708 Rp patients were included in the present analysis; according to our case definitions, 4051 had pRp and 657 had ssRp. A total of 1408 transitions to CTDs were recorded (30.1% from pRp, 28.6% from ssRp) during the follow-up.
The presence of autoantibodies (even without any specificity) should be carefully considered when assessing possible evolution to a secondary form. The coexistence of abnormalities of capillaries should raise suspicion for possible evolution to SSc and requires watchful monitoring and early intervention strategies.
Our data showed that ANA positivity is an important predictive factor for the evolution to CTDs other than SSc. In particular, most of the transitions to CTDs were toward undifferentiated connective tissue disease and SLE; this is not surprising as Rp is one of the most frequently reported symptoms in patients with these diseases [25], although Rp is not mentioned in proposed undifferentiated connective tissue disease classification criteria, nor in the newest classification criteria for SLE [26]. Therefore, these data highlight the importance of appropriate monitoring strategies for patients with Rp and ANAs.
The use of two databases might be considered a limitation. A source of uncertainty is the great heterogeneity among studies, especially for transition rate outcome, which was probably due to great variability in clinical assessment; this could misrepresent the average rate. Our systematic literature review highlighted the variety of nomenclature for patients with Rp, positive ANAs, and/or nail-fold capillary abnormalities, even in association with symptoms or physical findings suggestive of a secondary cause but without fulfilling the diagnostic criteria for a definite CTD. This is still a matter of debate: to overcome this problem we called these patients “suspected secondary Rp” with an “immune” or a “vascular” signature.
In order to increase consistency and accuracy, we decided to consider data for pRp and ssRp separately. We are aware that this choice reduced the comparability of our results with Spencer-Green analysis [9]. However, we think this approach guarantees more clinically meaningful results; as confirmation, different outcomes were reported in the two conditions.
Higher transition rates were reported by two retrospective studies [12, 27], thus we could hypothesise that there was an assessment bias in the baseline evaluation, which artificially increased the evolution rate.
In the analysis of ssRp transition to SSc, very low heterogeneity among studies was found. This is in line with an increased awareness of SSc-specific prognostic factors for early diagnosis of the disease.
All studies included in this meta-analysis derived from tertiary referral centres for CTDs; this could represent a referral bias, increasing transition rates to CTD because the most severe cases are generally addressed to tertiary hospitals.
Finally, data on evolution to non-SSc CTDs were available in only two studies [5, 12]; the focus on SSc could have caused underestimation of transition to CTDs other than SSc.
These results are in line with Spencer-Green’s [9] previous observation: a transition rate to CTDs of 3.2 ± 2.0 per 100 person-years (range 0.8–7.0).
We decided to analyse separately patients with Rp and ANA positivity and/or capillary abnormalities (immune and/or vascular signature Rp) because of the growing evidence of the role of these variables on disease outcomes [1, 10]. As expected, the transition rate was significantly greater in the ssRp group (10.61 and 6.57 per 100 person-years for transition to any CTD and to SSc, respectively). Indeed, our analysis confirms that the two conditions (pRp and ssRp) have different prognoses and should be considered separately; besides, the presence of ANAs and capillaroscopy abnormalities (especially coexistence of both conditions) are associated with significant risk of transition to a definite CTD and, in particular, SSc.
These data confirmed that patients with Rp and SSc-marker autoantibodies and/or typical nail-fold capillaroscopic findings, but no other organ manifestations (thus not fulfilling classification criteria for SSc), may be identified as “early SSc” and often present preclinical organ dysfunction [28, 29]. Our data are also in line with the Very Early Diagnosis of Systemic Sclerosis (VEDOSS) project in which the presence of specific findings (including Rp, puffy fingers and ANA positivity), defined as “red flags”, is recommended to raise a strong suspicion of a diagnosis of very early SSc and requires further assessments [17]. The utility of nail-fold capillaroscopy as a tool to confirm the suspicion is also well established [30, 31].
Rp is a common condition in the general population and the identification of patients with Rp who are at higher risk of developing a secondary form is still a challenge. This represents an early opportunity to identify patients likely to develop a CTD, with important consequences for management and monitoring strategies. This review adds further data to the existing literature; the work-up provided more comprehensive data than those reported in previous meta-analysis [9], thus we can hypothesize our estimations are more accurate. In conclusion, in consideration of the significant prognostic difference between what we considered pRp versus ssRp, these data relaunch the great debate about the classification of patients with Rp and only ANA positivity (immune signature) or only capillary abnormalities (vascular signature). Further prospective studies and a broader consensus appear essential.
Table S1 Search Strategy. Results were filtered for “humans”, “adults”, “English” and search was ranged between 1st July 1996 and 31st May 2016.
| EMBASE | 'raynaud phenomenon'/exp OR 'raynaud disease' OR 'raynaud phenomenon' OR 'raynaud syndrome' OR 'raynaud`s disease' OR 'disease, raynaud' OR 'syndrome, raynaud' AND ('prognosis'/exp OR 'prognosis' OR 'disease course'/exp OR 'clinical course' OR 'disease course' OR 'disease development' OR 'disease evolution' OR 'disease progression') AND ('systemic sclerosis'/exp OR 'generalised scleroderma' OR 'generalized scleroderma' OR 'progressive scleroderma' OR 'progressive sclerodermia' OR 'progressive sclerosis, systemic' OR 'progressive systemic sclerosis' OR 'scleroderma, generalised' OR 'scleroderma, generalized' OR 'scleroderma, progressive' OR 'scleroderma, systemic' OR 'sclerosis, progressive systemic' OR 'sclerosis, systemic' OR 'sclerosis, systemic progressive' OR 'systemic progressive sclerosis' OR 'systemic scleroderma' OR 'systemic sclerosis' OR 'systemic sclerosis, progressive' OR 'polymyositis'/exp OR 'polymyositis' OR 'mixed connective tissue disease'/exp OR 'connective tissue disease, mixed' OR 'mctd' OR 'mixed collagen disease' OR 'mixed connective tissue disease' OR 'mixed connective tissue disorder' OR 'dermatomyositis'/exp OR 'dermatomyositides' OR 'dermatomyositis' OR 'systemic lupus erythematosus'/exp OR 'lupus erythematosus, systemic' OR 'systemic lupus erythematosus' OR 'connective tissue disease'/exp OR 'connective tissue disease' OR 'connective tissue diseases' OR 'connective tissue disorder') AND ('cohort analysis'/exp OR 'analysis, cohort' OR 'cohort analysis' OR 'cohort studies' OR 'cohort study' OR 'longitudinal study'/exp OR 'longitudinal evaluation' OR 'longitudinal studies' OR 'longitudinal study' OR 'follow up'/exp OR 'prospective study'/exp OR 'prospective method' OR 'prospective studies' OR 'prospective study' OR 'study, prospective' OR 'retrospective study'/exp OR 'retrospective design' OR 'retrospective studies' OR 'retrospective study' OR 'study, retrospective') |
| Medline via PubMed | ((((((((((((Raynaud's disease[Text Word]) OR Raynaud's disease[MeSH Terms])) OR ((Raynaud's phenomenon[Text Word]) OR Raynaud's phenomenon[MeSH Terms])) OR ((Raynaud phenomenon[Text Word]) AND Raynaud phenomenon[MeSH Terms])) OR ((Raynaud syndrome[Text Word]) OR Raynaud syndrome[MeSH Terms])) OR ((Syndrome, Raynaud[Text Word]) OR Syndrome, Raynaud[MeSH Terms])) OR ((Raynaud sign[Text Word]) OR Raynaud sign[MeSH Terms])) OR ((Raynaud disease[Text Word]) OR Raynaud disease[MeSH Terms])) OR ((Disease, Raynaud[Text Word]) OR Disease, Raynaud[MeSH Terms]))) AND (((((Disease Progression[Text Word]) OR Disease Progression[MeSH Terms])) OR ((Disease transition[Text Word]) OR Disease transition[MeSH Terms])) OR (prognosis[Text Word]) OR ((disease course[Text Word]) OR disease course[MeSH Terms])) OR ((disease development[Text Word]) OR disease development[MeSH Terms])) OR ((disease evolution[Text Word]) OR disease evolution[MeSH Terms])) OR ((clinical course[Text Word]) OR clinical course [MeSH Terms])))) AND (((((((((((((((((((((((syndrome crest[Text Word]) OR syndrome crest[MeSH Terms])) OR ((limited scleroderma[Text Word]) OR limited scleroderma[MeSH Terms])) OR ((diffuse scleroderma[Text Word]) OR diffuse scleroderma[MeSH Terms])) OR ((systemic sclerosis[Text Word]) OR systemic sclerosis[MeSH Terms])) OR ((systemic scleroderma[Text Word]) OR systemic scleroderma[MeSH Terms])) OR ((systemic progressive[Text Word]) OR systemic progressive[MeSH Terms])) OR ((sclerosis[Text Word])) OR ((progressive systemic sclerosis[Text Word]) OR progressive systemic sclerosis[MeSH Terms])) OR ((progressive sclerodermia[Text Word]) OR progressive sclerodermia[MeSH Terms])) OR ((progressive scleroderma[Text Word]) OR progressive scleroderma[MeSH Terms])) OR ((generalized scleroderma[Text Word]) OR generalized scleroderma[MeSH Terms])) OR ((generalised scleroderma[Text Word]) OR generalised scleroderma[MeSH Terms]))) OR ((polymyositis[Text Word]) OR polymyositis[MeSH Terms])) OR ((mixed connective tissue disease[Text Word]) OR mixed connective tissue disease[MeSH Terms])) OR ((dermatomyositis[Text Word]) OR dermatomyositis[MeSH Terms])) OR ((systemic lupus erythematosus[Text Word]) OR systemic lupus erythematosus[MeSH Terms])) OR ((undifferentiated connective tissue disease[Text Word]) OR undifferentiated connective tissue disease[MeSH Terms])) OR ((connective tissue disease[Text Word]) OR connective tissue disease[MeSH Terms])) OR ((connective tissue disorder[Text Word]) OR connective tissue disorder[MeSH Terms])))) AND ((((((((((((((((((retrospective study[Text Word]) OR retrospective study[MeSH Terms])) OR ((retrospective studies[Text Word]) OR retrospective studies[MeSH Terms])) OR ((prospective studies[Text Word]) OR prospective studies[MeSH Terms])) OR ((prospective study[Text Word]) OR prospective study[MeSH Terms])) OR ((longitudinal studies[Text Word]) OR longitudinal studies[MeSH Terms])) OR ((longitudinal study[Text Word]) OR longitudinal study[MeSH Terms])) OR ((Review[Text Word])) OR ((cohort studies[Text Word]) OR cohort studies[MeSH Terms])) OR ((cohort study[Text Word]) OR cohort study[MeSH Terms])) OR ((clinical trial[Text Word]) OR clinical trial[MeSH Terms])) OR ((clinical drug trial[Text Word]) OR clinical drug trial[MeSH Terms])) OR ((trial clinical[Text Word]) OR trial clinical[MeSH Terms])))) |
Table S2 Exclusion reasons for 23 manuscripts.
| Reason of exclusion | No. of studies |
|---|---|
| Studies not reporting antinuclear antibodies and nail-fold capillaroscopy assessment or not declaring the classification criteria for primary Raynaud’s phenomenon according to LeRoy and Medsger at baseline | 11 |
| Studies involving patients with a clear definition of secondary Raynaud’s phenomenon to overt connective tissue diseases at baseline | 5 |
| Studies with outcomes other than evolution to overt connective tissue diseases | 4 |
| Studies not declaring the classification criteria for diagnosing a connective tissue disease | 2 |
| Where different articles by the same author appeared to describe the same patients more than once, only the article providing the most detailed information about the follow-up status of the patients was included | 1 |

Figure S1 Forest plots showing the incidence rate of transition to systemic sclerosis of primary and suspected secondary Raynaud’s phenomenon as per 100 person-years.

Figure S2 Connective tissue diseases developed in patients with primary Raynaud’s phenomenon (white column) and suspected secondary Raynaud’s phenomenon (black column).
No financial support and no other potential conflict of interest relevant to this article was reported.
1 Herrick AL . The pathogenesis, diagnosis and treatment of Raynaud phenomenon. Nat Rev Rheumatol. 2012;8(8):469–79. doi:.https://doi.org/10.1038/nrrheum.2012.96
2 Maricq HR , Carpentier PH , Weinrich MC , Keil JE , Franco A , Drouet P , et al. Geographic variation in the prevalence of Raynaud’s phenomenon: Charleston, SC, USA, vs Tarentaise, Savoie, France. J Rheumatol. 1993;20(1):70–6.
3 Carpentier PH , Satger B , Poensin D , Maricq HR . Incidence and natural history of Raynaud phenomenon: A long-term follow-up (14 years) of a random sample from the general population. J Vasc Surg. 2006;44(5):1023–8. doi:.https://doi.org/10.1016/j.jvs.2006.07.037
4 Suter LG , Murabito JM , Felson DT , Fraenkel L . The incidence and natural history of Raynaud’s phenomenon in the community. Arthritis Rheum. 2005;52(4):1259–63. doi:.https://doi.org/10.1002/art.20988
5 Hirschl M , Hirschl K , Lenz M , Katzenschlager R , Hutter HP , Kundi M . Transition from primary Raynaud’s phenomenon to secondary Raynaud’s phenomenon identified by diagnosis of an associated disease: results of ten years of prospective surveillance. Arthritis Rheum. 2006;54(6):1974–81. doi:.https://doi.org/10.1002/art.21912
6 De Angelis R , Salaffi F , Grassi W . Raynaud’s phenomenon: prevalence in an Italian population sample. Clin Rheumatol. 2006;25(4):506–10. doi:.https://doi.org/10.1007/s10067-005-0077-1
7 Silman A , Holligan S , Brennan P , Maddison P . Prevalence of symptoms of Raynaud’s phenomenon in general practice. BMJ. 1990;301(6752):590–2. doi:.https://doi.org/10.1136/bmj.301.6752.590
8 Garner R , Kumari R , Lanyon P , Doherty M , Zhang W . Prevalence, risk factors and associations of primary Raynaud’s phenomenon: systematic review and meta-analysis of observational studies. BMJ Open. 2015;5(3):e006389. doi:.https://doi.org/10.1136/bmjopen-2014-006389
9 Spencer-Green G . Outcomes in primary Raynaud phenomenon: a meta-analysis of the frequency, rates, and predictors of transition to secondary diseases. Arch Intern Med. 1998;158(6):595–600. doi:.https://doi.org/10.1001/archinte.158.6.595
10 Wigley FM , Flavahan NA . Raynaud’s Phenomenon. N Engl J Med. 2016;375(6):556–65. doi:.https://doi.org/10.1056/NEJMra1507638
11 De Angelis R , Del Medico P , Blasetti P , Cervini C . Raynaud’s phenomenon: clinical spectrum of 118 patients. Clin Rheumatol. 2003;22(4-5):279–84. doi:.https://doi.org/10.1007/s10067-003-0726-1
12 Ingegnoli F , Boracchi P , Gualtierotti R , Biganzoli EM , Zeni S , Lubatti C , et al. Improving outcome prediction of systemic sclerosis from isolated Raynaud’s phenomenon: role of autoantibodies and nail-fold capillaroscopy. Rheumatology (Oxford). 2010;49(4):797–805. doi:.https://doi.org/10.1093/rheumatology/kep447
13 Valentini G , Marcoccia A , Cuomo G , Vettori S , Iudici M , Bondanini F , et al. Early systemic sclerosis: analysis of the disease course in patients with marker autoantibody and/or capillaroscopic positivity. Arthritis Care Res (Hoboken). 2014;66(10):1520–7. doi:.https://doi.org/10.1002/acr.22304
14 Koenig M , Joyal F , Fritzler MJ , Roussin A , Abrahamowicz M , Boire G , et al. Autoantibodies and microvascular damage are independent predictive factors for the progression of Raynaud’s phenomenon to systemic sclerosis: a twenty-year prospective study of 586 patients, with validation of proposed criteria for early systemic sclerosis. Arthritis Rheum. 2008;58(12):3902–12. doi:.https://doi.org/10.1002/art.24038
15 Pavlov-Dolijanovic S , Damjanov NS , Stojanovic RM , Vujasinovic Stupar NZ , Stanisavljevic DM . Scleroderma pattern of nailfold capillary changes as predictive value for the development of a connective tissue disease: a follow-up study of 3,029 patients with primary Raynaud’s phenomenon. Rheumatol Int. 2012;32(10):3039–45. doi:.https://doi.org/10.1007/s00296-011-2109-2
16 Bernero E , Sulli A , Ferrari G , Ravera F , Pizzorni C , Ruaro B , et al. Prospective capillaroscopy-based study on transition from primary to secondary Raynaud’s phenomenon: preliminary results. Reumatismo. 2013;65(4):186–91. doi:.https://doi.org/10.4081/reumatismo.2013.186
17 Minier T , Guiducci S , Bellando-Randone S , Bruni C , Lepri G , Czirják L , et al.; EUSTAR co-workers; EUSTAR co-workers. Preliminary analysis of the very early diagnosis of systemic sclerosis (VEDOSS) EUSTAR multicentre study: evidence for puffy fingers as a pivotal sign for suspicion of systemic sclerosis. Ann Rheum Dis. 2014;73(12):2087–93. doi:.https://doi.org/10.1136/annrheumdis-2013-203716
18 Shiboski SC , Shiboski CH , Criswell L , Baer A , Challacombe S , Lanfranchi H , et al.; Sjögren’s International Collaborative Clinical Alliance (SICCA) Research Groups. American College of Rheumatology classification criteria for Sjögren’s syndrome: a data-driven, expert consensus approach in the Sjögren’s International Collaborative Clinical Alliance cohort. Arthritis Care Res (Hoboken). 2012;64(4):475–87. doi:.https://doi.org/10.1002/acr.21591
19 Stroup DF , Berlin JA , Morton SC , Olkin I , Williamson GD , Rennie D , et al. Meta-analysis of observational studies in epidemiology: a proposal for reporting. Meta-analysis Of Observational Studies in Epidemiology (MOOSE) group. JAMA. 2000;283(15):2008–12. doi:.https://doi.org/10.1001/jama.283.15.2008
20Wells G, Shea B, O’Connell J, Robertson J, Peterson V, Welch V, et al. (2013) The Newcastle-Ottawa Scale (NOS) for assessing the quality of nonrandomised studies in meta-analysis. http://www.ohri.ca/programs/clinical_epidemiology/oxford.Asp
21Higgins JPT, Green SE. (2011) Cochrane handbook for systematic reviews of interventions version 5.1.0 [updated March 2011]. The Cochrane Collaboration. http://www.cochrane-handbook.org
22 LeRoy EC , Medsger TA, Jr . Raynaud’s phenomenon: a proposal for classification. Clin Exp Rheumatol. 1992;10(5):485–8.
23 Maricq HR , Harper FE , Khan MM , Tan EM , LeRoy EC . Microvascular abnormalities as possible predictors of disease subsets in Raynaud phenomenon and early connective tissue disease. Clin Exp Rheumatol. 1983;1(3):195–205.
24 Cutolo M , Sulli A , Pizzorni C , Accardo S . Nailfold videocapillaroscopy assessment of microvascular damage in systemic sclerosis. J Rheumatol. 2000;27(1):155–60.
25 Mosca M , Tani C , Vagnani S , Carli L , Bombardieri S . The diagnosis and classification of undifferentiated connective tissue diseases. J Autoimmun. 2014;48-49:50–2. doi:.https://doi.org/10.1016/j.jaut.2014.01.019
26 Petri M , Orbai AM , Alarcón GS , Gordon C , Merrill JT , Fortin PR , et al. Derivation and validation of the Systemic Lupus International Collaborating Clinics classification criteria for systemic lupus erythematosus. Arthritis Rheum. 2012;64(8):2677–86. doi:.https://doi.org/10.1002/art.34473
27 Pavlov-Dolijanovic S , Damjanov NS , Stojanovic RM , Vujasinovic Stupar NZ , Stanisavljevic DM . Scleroderma pattern of nailfold capillary changes as predictive value for the development of a connective tissue disease: a follow-up study of 3,029 patients with primary Raynaud’s phenomenon. Rheumatol Int. 2012;32(10):3039–45. doi:.https://doi.org/10.1007/s00296-011-2109-2
28 LeRoy EC , Medsger TA, Jr . Criteria for the classification of early systemic sclerosis. J Rheumatol. 2001;28(7):1573–6.
29 Valentini G , Cuomo G , Abignano G , Petrillo A , Vettori S , Capasso A , et al. Early systemic sclerosis: assessment of clinical and pre-clinical organ involvement in patients with different disease features. Rheumatology (Oxford). 2011;50(2):317–23. doi:.https://doi.org/10.1093/rheumatology/keq176
30 Ingegnoli F , Gualtierotti R . A systematic overview on the use and relevance of capillaroscopy in systemic sclerosis. Expert Rev Clin Immunol. 2013;9(11):1091–7. doi:.https://doi.org/10.1586/1744666X.2013.849198
31 Bissell LA , Abignano G , Emery P , Del Galdo F , Buch MH . Absence of Scleroderma pattern at nail fold capillaroscopy valuable in the exclusion of Scleroderma in unselected patients with Raynaud’s Phenomenon. BMC Musculoskelet Disord. 2016;17(1):342. doi:.https://doi.org/10.1186/s12891-016-1206-5
No financial support and no other potential conflict of interest relevant to this article was reported.